4-Vinylcyclohexene
![]() | |
| Names | |
|---|---|
| IUPAC name
4-Vinylcyclohexene | |
| Other names
Butadiene dimer, 4-ethenylcyclohexene, 1-vinyl-3-cyclohexene; 4-vinyl-1-cyclohexene | |
| Identifiers | |
| 100-40-3 | |
| 3D model (Jmol) | Interactive image |
| ChemSpider | 7218 |
| ECHA InfoCard | 100.002.590 |
| EC Number | 202-848-9 |
| KEGG | C19310 |
| PubChem | 7499 |
| RTECS number | GW6650000 |
| UNII | 212JQJ15PS |
| |
| |
| Properties | |
| C8H12 | |
| Molar mass | 108.181 g/mol |
| Appearance | colorless liquid |
| Density | 0.8299 g/cm3 at 20°C |
| Melting point | −108.9 °C (−164.0 °F; 164.2 K) |
| Boiling point | 128.9 °C (264.0 °F; 402.0 K) |
| 0.05 g/L[1] | |
| Solubility | soluble in benzene, diethyl ether, petroleum ether |
| Vapor pressure | 2 kPa at 25°C |
| Refractive index (nD) |
1.4639 (20 °C) |
| Hazards | |
| Safety data sheet | Oxford University |
| R-phrases | R20 R22 |
| NFPA 704 | |
| Flash point | 21.2 °C (70.2 °F; 294.3 K) [2] |
| 269 °C (516 °F; 542 K) | |
| Lethal dose or concentration (LD, LC): | |
| LD50 (median dose) |
2563 mg/kg (oral, rat)[3] |
| Related compounds | |
| Related compounds |
1,3-Butadiene Cyclohexene |
| Except where otherwise noted, data are given for materials in their standard state (at 25 °C [77 °F], 100 kPa). | |
| | |
| Infobox references | |
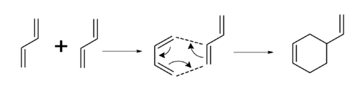
4-Vinylcyclohexene is an organic compound formed when 1,3-butadiene dimerizes in a Diels-Alder reaction.[4] It is found in industrial processes involving 1,3-butadiene, including the manufacture of lauric acid. The 4-vinylcyclohexene formed may be sold as-is or converted to vinylcyclohexene dioxide.
Manufacturing
Industrially, 4-vinylcyclohexene is manufactured by dimerizing 1,3-butadiene at 110 - 425°C at pressures of 1.3 - 100 MPa over silicon carbide and salts of copper or chromium.
Safety
4-Vinylcyclohexene is classified as a Group 2B carcinogen by the IARC .[2]
References
- ↑ Lide, David R. (1998). Handbook of Chemistry and Physics (87 ed.). Boca Raton, FL: CRC Press. pp. 8–111. ISBN 0-8493-0594-2.
- 1 2 "4-Vinylcyclohexene" (PDF). IARC. Retrieved 2009-04-19.
- ↑ "Safety (MSDS) data for 4-vinylcyclohexene". Oxford University. Retrieved 2009-04-19.
- ↑ Wittcoff, Harold; Reuben, B. G.; Plotkin, Jeffrey S. (1998). Industrial Organic Chemicals (2 ed.). Wiley-Interscience. pp. 236–7. ISBN 978-0-471-44385-8. Retrieved 2009-04-19.
This article is issued from Wikipedia - version of the 9/23/2016. The text is available under the Creative Commons Attribution/Share Alike but additional terms may apply for the media files.


