Aldosterone synthase

CYP11B2
Available structures
PDBHuman UniProt search: PDBe RCSB
Identifiers
Aliases CYP11B2, ALDOS, CPN2, CYP11B, CYP11BL, CYPXIB2, P-450C18, P450C18, P450aldo, cytochrome P450 family 11 subfamily B member 2
External IDs MGI: 88583 HomoloGene: 106948 GeneCards: CYP11B2
EC number 1.14.15.4
Targeted by Drug
fadrozole[1]
RNA expression pattern
More reference expression data
Orthologs
Species Human Mouse
Entrez

1585

110115

Ensembl

ENSG00000179142

ENSMUSG00000075604

UniProt

P19099

n/a

RefSeq (mRNA)

NM_000498

NM_001033229

RefSeq (protein)

NP_000489.3

n/a

Location (UCSC) Chr 8: 142.91 – 142.92 Mb Chr 15: 74.83 – 74.84 Mb
PubMed search [2] [3]
Wikidata
View/Edit HumanView/Edit Mouse

Aldosterone synthase is a steroid hydroxylase cytochrome P450 enzyme involved in the biosynthesis of the mineralocorticoid aldosterone. It is a protein which is only expressed in the zona glomerulosa[4] of the adrenal cortex and is primarily regulated by the renin-angiotensin system.[5] It is the sole enzyme capable of synthesizing aldosterone in humans and plays an important role in electrolyte balance and blood pressure.[6]

Genetics

Aldosterone synthase is encoded on chromosome 8q22[4] by the CYP11B2 gene.[4] The gene contains 9 exons and spans roughly 7000 base pairs of DNA.[4] CYP11B2 is closely related with CYP11B1. The two genes show 93% homology to each other and are both encodes on the same chromosome.[7] Research has shown that calcium ions act as a transcription factor for CYP11B2 through well defined interactions at the 5'-flanking region of CYP11B2.[4]

Aldosterone synthase is a member of the cytochrome P450 superfamily of enzymes.[8] The cytochrome P450 proteins are monooxygenases that catalyze many reactions involved in drug metabolism and synthesis of cholesterol, steroids, and other lipids.

Function

Aldosterone, when present, binds to intracellular mineralocorticoid receptors which can then bind to DNA and influence transcription of genes encoding serum and glucocorticoid induced kinase, SGK. Serum and glucocorticoid induced kinase (SGK) can phosphorylate a uniquitin ligase (NEDD4) which inactivates its ability to remove and degrade sodium channels from apical membranes.[9] Aldosterone activity is primarily regulated by the renin-angiotensin system and shows a diurnal rhythm of secretion.[5] Adrenocorticotropic hormone is also assumed to play a role in the regulation of aldosterone synthase likely through stimulating the synthesis of 11-deoxycorticosterone which is the initial substrate of the enzymatic action in aldosterone synthase.[10]

Renin-angiotensin system schematic showing aldosterone activity on the right

Aldosterone can be inhibited by antialdosteronic drugs such as spironolactone and eplerenone. In the chance that aldosterone activity is too high to be metabolically beneficial salt and fluid build up can occur which may stiffen the heart muscle increasing the risk of cardiovascular malfunction.[11]

Metabolism

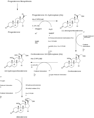
Biosynthetic pathway of aldosterone starting with progesterone

Aldosterone synthase converts 11-deoxycorticosterone to corticosterone, to 18-hydroxycorticosterone, and finally to aldosterone:

In human metabolism the biosynthesis of aldosterone largely depends on the metabolism of cholesterol. Cholesterol is metabolized in what is known as the early pathway of aldosterone synthesis[12] and is hydroxylated becoming (20R,22R)-dihydroxycholesterol which is then metabolized as a direct precursor to pregnenolone. Pregnenolone can then followed one of two pathways which involve the metabolism of progesterone or the testosterone and estradiol biosynthesis. Aldosterone is synthesized by following the metabolism of progesterone.

In the potential case where aldosterone synthase is not metabolically active the body accumulates 11-deoxycorticosterone. This increases salt retention leading to increased hypertension.[13]

Methyl oxidase deficiency

Lack of metabolically active aldosterone synthase leads to corticosterone methyl oxidase deficiency type I and II. The deficiency is characterized clinically by salt-wasting, failure to thrive, and growth retardation.[14] The in-active proteins are caused by the autosomal recessive inheritance of defective CYP11B2 genes in which genetic mutations destroy the enzymatic activity of aldosterone synthase.[14] Deficient aldosterone synthase activity results in impaired biosynthesis of aldosterone while corticosterone in the zona glomerulosa is excessively produced in both corticosterone methyl oxidase deficiency type I and II. The corticosterone methyl oxidase deficiencies both share this effect however type I causes an overall deficiency of 18-hydroxycorticosterone while type II overproduces it.[14]

Enzymatic inhibition

Inhibition of aldosterone synthase is currently being investigated as a medical treatment for hypertension, heart failure, and renal disorders.[15] Deactivation of enzymatic activity reduces aldosterone concentrations in plasma and tissues which decreases mineralocorticoid receptor-dependent and independent effects in cardiac vascular and renal target organs.[15] Inhibition has shown to decrease plasma and urinary aldosterone concentrations by 70 - 80%, rapid hypokalaemia correction, moderate decrease of blood pressure, and an increase plasma renin activity in patients who are on a low-sodium diet.[15] Ongoing medical research is focusing on the synthesis of second-generation aldosterone synthase inhibitors to create an ideally selective inhibitor as the current, orally delivered, LCl699 has shown to be non-specific to aldosterone synthase.[15]

See also

Additional images

Steroidogenesis, showing aldosterone synthase at right.

References

  1. "Drugs that physically interact with Cytochrome P450 11B2, mitochondrial view/edit references on wikidata".
  2. "Human PubMed Reference:".
  3. "Mouse PubMed Reference:".
  4. 1 2 3 4 5 Bassett MH, White PC, Rainey WE (March 2004). "The regulation of aldosterone synthase expression". Mol. Cell. Endocrinol. 217 (1–2): 67–74. doi:10.1016/j.mce.2003.10.011. PMID 15134803.
  5. 1 2 Peter M, Dubuis JM, Sippell WG (1999). "Disorders of the aldosterone synthase and steroid 11β-hydroxylase deficiencies". Horm. Res. 51 (5): 211–22. doi:10.1159/000023374. PMID 10559665.
  6. Strushkevich N, Gilep AA, Shen L, Arrowsmith CH, Edwards AM, Usanov SA, Park HW (February 2013). "Structural insights into aldosterone synthase substrate specificity and targeted inhibition". Molecular Endocrinology. 27 (2): 315–324. doi:10.1210/me.2012-1287. PMID 23322723.
  7. Mornet E, Dupont J, Vitek A, White PC (June 1989). "Characterization of two genes encoding human steroid 11-beta-hydroxylase (P-45011-beta)". J Biol Chem. 264 (15): 20961–20967. PMID 2592361.
  8. "CYP11B2". Retrieved 17 September 2013.
  9. White PC (March 2004). "Aldosterone synthase deficiency and related disorders". Mol. Cell. Endocrinol. 217 (1–2): 81–7. doi:10.1016/j.mce.2003.10.013. PMID 15134805.
  10. Brown RD, Strott CA, Liddle GW (June 1972). "Site of stimulation of aldosterone biosynthesis by angiotensin and potassium". J Clin Invest. 51 (6): 1413–8. doi:10.1172/JCI106937. PMC 292278Freely accessible. PMID 4336939.
  11. Martinez FA (Aug 2010). "Aldosterone inhibition and cardiovascular protection: more important than it once appeared". Cardiovascular drugs and therapy. 24 (4): 345–350. doi:10.1007/s10557-010-6256-6. PMID 20676926.
  12. Williams GH (January 2005). "Aldosterone Biosynthesis, Regulation, and Classical Mechanism of Action". Heart failure reviews. 10 (1): 7–13. doi:10.1007/s10741-005-2343-3.
  13. National Library of Medicine (US) (Sep 2013). "CYP11B1". Genetics Home Reference.
  14. 1 2 3 Peter M, Fawaz L, Drop SL, Visser HK, Sippell WG (November 1997). "Hereditary defect in biosynthesis of aldosterone: aldosterone synthase deficiency 1964-1997". J. Clin. Endocrinol. Metab. 82 (11): 3525–8. doi:10.1210/jc.82.11.3525. PMID 9360501.
  15. 1 2 3 4 Azizi M, Amar L, Menard J (October 2013). "Aldosterone synthase inhibition in humans". Nephrol. Dial. Transplant. 28 (1): 36–43. doi:10.1093/ndt/gfs388. PMID 23045428.

Further reading

External links

Category:Cytochrome P450

This article is issued from Wikipedia - version of the 11/22/2016. The text is available under the Creative Commons Attribution/Share Alike but additional terms may apply for the media files.