Bamberger triazine synthesis
The Bamberger triazine synthesis in organic chemistry is a classic organic synthesis of a triazine first reported by Eugen Bamberger in 1892.[1]

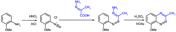
The reactants are an aryl diazonium salt obtained from reaction of the corresponding aniline with sodium nitrite and hydrochloric acid and the hydrazone of pyruvic acid. The azo intermediate converts to the benzotriazine in the third step with sulfuric acid in acetic acid.
See also
- From the same inventor: the Bamberger rearrangement
References
- ↑ Hassner, A., Stumer, C., Organic Synthesis Based on Name Reactions: 2nd. Ed. Tetrahedron Organic Chemistry Series, Volume 22 Pergamon, Oxford ISBN 0-08-043260-3
This article is issued from Wikipedia - version of the 8/29/2016. The text is available under the Creative Commons Attribution/Share Alike but additional terms may apply for the media files.