Birman–Wenzl algebra

In mathematics, the Birman-Murakami-Wenzl (BMW) algebra, introduced by Birman & Wenzl (1989) and Murakami (1986), is a two-parameter family of algebras Cn(, m) of dimension 1·3·5 ··· (2n  1) having the Hecke algebra of the symmetric group as a quotient. It is related to the Kauffman polynomial of a link. It is a deformation of the Brauer algebra in much the same way that Hecke algebras are deformations of the group algebra of the symmetric group.

Definition

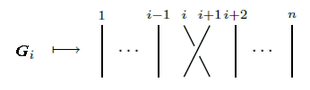
For each natural number n, the BMW algebra Cn(, m) is generated by G1,G2,...,Gn-1,E1,E2,...,En-1 and relations:

       
    
    
    

These relations imply the further relations:



This is the original definition given by Birman & Wenzl. However a slight change by the introduction of some minus signs is sometimes made, in accordance with Kauffman's 'Dubrovnik' version of his link invariant. In that way, the fourth relation in Birman & Wenzl's original version is changed to
(1) (Kauffman skein relation)

Given invertibility of m, the rest of the relations in Birman & Wenzl's original version can be reduced to

(2) (Idempotent relation)


(3) (Braid relations)


(4) (Tangle relations)


(5) (Delooping relations)

Properties

Isomorphism between the BMW algebras and Kauffman's tangle algebras

It is proved by Morton & Wassermann (1989) that the BMW algebra Cn(, m) is isomorphic to the Kauffman's tangle algebra KTn, the isomorphism is defined by
and

Baxterisation of Birman-Murakami-Wenzl algebra

Define the face operator as

where and are determined by

and

.

Then the face operator satisfies the Yang-Baxter equation.

Now with

.

In the limits , the braids can be recovered up to a scale factor.

History

In 1984, Vaughan Jones introduced a new polynomial invariant of link isotopy types which is called the Jones polynomial. The invariants are related to the traces of irreducible representations of Hecke algebras associated with the symmetric groups. In 1986, Murakami (1986) showed that the Kauffman polynomial can also be interpreted as a function on a certain associative algebra. In 1989, Birman & Wenzl (1989) constructed a two-parameter family of algebras Cn(, m) with the Kauffman polynomial Kn(, m) as trace after appropriate renormalization.

References

This article is issued from Wikipedia - version of the 2/3/2015. The text is available under the Creative Commons Attribution/Share Alike but additional terms may apply for the media files.