Cefapirin

Cefapirin
Clinical data
AHFS/Drugs.com International Drug Names
MedlinePlus a601206
Pregnancy
category
  • US: B (No risk in non-human studies)
Routes of
administration
Intravenous, intramuscular
ATC code J01DB08 (WHO) QG51AA05 (WHO) QJ51DB08 (WHO)
Legal status
Legal status
Identifiers
CAS Number 21593-23-7 YesY
PubChem (CID) 30699
DrugBank DB01139 YesY
ChemSpider 28486 YesY
UNII 89B59H32VN YesY
KEGG D07636 YesY
ChEBI CHEBI:554446 YesY
ChEMBL CHEMBL1599 YesY
ECHA InfoCard 100.040.409
Chemical and physical data
Formula C17H17N3O6S2
Molar mass 423.466 g/mol
3D model (Jmol) Interactive image
  (verify)

Cefapirin (INN, also spelled cephapirin) is an injectable, first-generation cephalosporin antibiotic. It is marketed under the trade name Cefadyl. Production for use in humans has been discontinued in the United States.[1]

It also has a role in veterinary medicine as Metricure, an intrauterine preparation, and combined with prednisolone in Mastiplan, an intramammary preparation. Both are licensed in cattle.

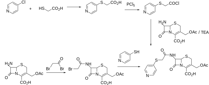
Synthesis

In one of the syntheses, 7-aminocephalosporanic acid (7-ACA) is reacted with bromoacetyl chloride to give the amide. The halo group is then displaced by 4-thiopyridine.[2]

References

  1. http://www.accessdata.fda.gov/scripts/cder/drugsatfda/index.cfm?fuseaction=Search.Overview&DrugName=CEFADYL
  2. 1 2 Crast, L. B.; Graham, R. G.; Cheney, L. C. (1973). "Synthesis of cephapirin and related cephalosporins from 7-(.alpha.-bromoacetamido)cephalosporanic acid". Journal of Medicinal Chemistry. 16 (12): 1413. doi:10.1021/jm00270a025.
This article is issued from Wikipedia - version of the 4/2/2016. The text is available under the Creative Commons Attribution/Share Alike but additional terms may apply for the media files.