Clamoxyquine
![]() | |
| Clinical data | |
|---|---|
| ATC code | none |
| Identifiers | |
| |
| CAS Number | 2545-39-3 |
| PubChem (CID) | 18029 |
| ChemSpider | 17033 |
| UNII |
JUN13FZ6RF |
| ChEMBL | CHEMBL2106065 |
| Chemical and physical data | |
| Formula | C17H24ClN3O |
| Molar mass | 321.846 g·mol−1 |
| 3D model (Jmol) | Interactive image |
| |
Clamoxyquine (INN) or clamoxyquin (former BAN), as the pamoate or hydrochloride salt, is an antiamebic and antidiarrheal drug.
It has been used as a veterinary medicine to treat salmonids for infection with the myxozoan parasite Myxobolus cerebralis.
Synthesis
Antimalarial activity also predominates in a quinoline that bears a diaminoalkyl side chain at a rather different position from the other agents noted.

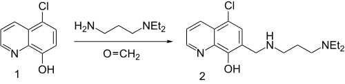
Clamoxyquin synthesis:[1]
Thus, Mannich condensation of the hydroxyquinoline (1) with formaldehyde and N,N-diethylpropylenediamine affords clamoxyquin (2).
References
- ↑ Burckhalter, J. H.; Brinigar, W. S.; Thompson, P. E. (1961). "Antiamebic Agents. V.1Promising Basic Amebicides Derived from 5-Chloro-8-quinolinol". The Journal of Organic Chemistry. 26 (10): 4070. doi:10.1021/jo01068a103.
This article is issued from Wikipedia - version of the 4/3/2016. The text is available under the Creative Commons Attribution/Share Alike but additional terms may apply for the media files.
