Coronal loop

Coronal loops.
Watch this movie to see how coronal loops on the Sun next to the more fuzzy areas in the lower solar atmosphere provide a dazzling show.
Typical coronal loops observed by TRACE.
This 4k video allows us a high-definition look at the complexity of activity occurring on the surface our parent star, the Sun. Coronal loops — linking areas of opposite magnetic polarity in the photosphere — enormous solar prominences and sunspots are all to be seen here.

Coronal loops form the basic structure of the lower corona and transition region of the Sun. These highly structured loops are a direct consequence of the twisted solar magnetic flux within the solar body. The population of coronal loops can be directly linked with the solar cycle; it is for this reason coronal loops are often found with sunspots at their footpoints. The upwelling magnetic flux pushes through the photosphere, exposing the cooler plasma below. The contrast between the photosphere and the solar interior gives the impression of dark spots, or sunspots.

Physical features

A diagram showing the evolution of the solar magnetic flux over one solar cycle.
Diagram of the low corona and transition region, where many scales of coronal loops can be observed.

A coronal loop is magnetic flux fixed at both ends, threading through the solar body, protruding into the solar atmosphere. They are ideal structures to observe when trying to understand the transfer of energy from the solar body, through the transition region and into the corona.

Many scales of coronal loops exist, neighbouring open flux tubes that give way to the solar wind and reach far into the corona and heliosphere. Anchored in the photosphere (a rigid, line-tied, anchor is assumed where the high-β, external plasma holds the loop footpoints in place), coronal loops project through the chromosphere and transition region, extending high into the corona.

Also, coronal loops have a wide variety of temperatures along their lengths. Loops existing at temperatures below 1 MK are generally known as cool loops, those existing at around 1 MK are known as warm loops, and those beyond 1 MK are known as hot loops. Naturally, these different categories radiate at different wavelengths.[1]

Location

Coronal loops populate both active and quiet regions of the solar surface. Active regions on the solar surface take up small areas but produce the majority of activity and are often the source of flares and Coronal Mass Ejections due to the intense magnetic field present. Active regions produce 82% of the total coronal heating energy.[2] Coronal holes are open field lines located predominantly in the polar regions of the Sun and are known to be the source of the fast solar wind. The quiet Sun makes up the rest of the solar surface. The quiet Sun, although less active than active regions, is awash with dynamic processes and transient events (bright points, nanoflares and jets).[3] As a general rule, the quiet Sun exists in regions of closed magnetic structures, and active regions are highly dynamic sources of explosive events. It is important to note that observations suggest the whole corona is massively populated by open and closed magnetic fieldlines.

Coronal loops and the coronal heating problem

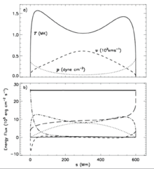
A modelled example of a quiescent coronal loop (energy contributions).

A closed fieldline does not constitute a coronal loop; however, closed flux must be filled with plasma before it can be called a coronal loop. With this in mind, it becomes clear that coronal loops are a rarity on the solar surface, as the majority of closed-flux structures are empty. This means the mechanism that heats the corona and injects chromospheric plasma into the closed magnetic flux is highly localised.[4] The mechanism behind plasma filling, dynamic flows and coronal heating remains a mystery. The mechanism(s) must be stable enough to continue to feed the corona with chromospheric plasma and powerful enough to accelerate and therefore heat the plasma from 6000 K to well over 1 MK over the short distance from the chromosphere and transition region to the corona. This is the very reason coronal loops are targeted for intense study. They are anchored to the photosphere, are fed by chromospheric plasma, protrude into the transition region and exist at coronal temperatures after undergoing intensive heating.

The idea that the coronal heating problem is solely down to some coronal heating mechanism is misleading. Firstly, the plasma filling over-dense loops is drained directly from the chromosphere. There is no coronal mechanism known that can compress coronal plasma and feed it into coronal loops at coronal altitudes. Secondly, observations of coronal upflows point to a chromospheric source of plasma. The plasma is therefore chromospheric in origin; there must be consideration of this when looking into coronal heating mechanisms. This is a chromospheric energization and coronal heating phenomenon possibly linked through a common mechanism.

Unsolved problem in physics:
Why is the Sun's Corona so much hotter than the Sun's surface?
(more unsolved problems in physics)

History of observations

1946–1975

Many strides have been made by ground-based telescopes (such as the Mauna Loa Solar Observatory, MLSO, in Hawaii) and eclipse observations of the corona, but to escape the obscuring effect of the Earth's atmosphere, space-based observations have become a necessary evolution for solar physics. Beginning with the short (seven-minute) Aerobee rocket flights in 1946 and 1952, spectrograms measured solar EUV and Lyman-α emissions. Basic X-ray observations were attained by 1960 using such rockets. The British Skylark rocket missions from 1959 to 1978 also returned mainly X-ray spectrometer data.[5] Although successful, the rocket missions were very limited in lifetime and payload. During the period of 1962–1975, the satellite series Orbiting Solar Observatory (OSO-1 to OSO-8) were able to gain extended EUV and X-ray spectrometer observations. Then, in 1973, Skylab was launched and began a new multi-wavelength campaign that typified future observatories.[6] This mission lasted only a year and was superseded by the Solar Maximum Mission, which became the first observatory to last the majority of a solar cycle (from 1980 to 1989).[7] A wealth of data was accumulated across the whole range of emission.

1991–present day

Full-disk mosaic of the million-degree Sun by TRACE.

The solar community was rocked by the launch of Yohkoh (Solar A) from Kagoshima Space Centre in August 1991. It was lost on 14 December 2001 due to battery failure but revolutionised X-ray observations in its decade of operations. Yohkoh (or Sunbeam) orbited the Earth in an elliptical orbit, observing X-ray and γ-ray emissions from solar phenomena such as solar flares. Yohkoh carried four instruments. The Bragg Crystal Spectrometer (BCS), the Wide Band Spectrometer (WBS), the Soft X-Ray Telescope (SXT) and the Hard X-Ray Telescope (HXT) were operated by a consortium of scientists from Japan, the USA and the UK. Of particular interest is the SXT instrument for observing X-ray-emitting coronal loops.

The SXT instrument observed X-rays in the 0.25–4.0 keV range, resolving solar features to 2.5 arc seconds with a temporal resolution of 0.5–2 seconds. SXT was sensitive to plasma in the 2–4 MK temperature range, making it an ideal observational platform to compare with data collected from TRACE coronal loops radiating in the EUV wavelengths.[8]

The next major step in solar physics came at the launch of the Solar and Heliospheric Observatory (SOHO) in December 1995 from Cape Canaveral Air Force Station in Florida, USA. SOHO originally had an operational lifetime of two years. The mission was extended to March 2007 due to its resounding success, allowing SOHO to observe a complete 11-year solar cycle. SOHO continually faces the Sun holding a slow orbit around the First Lagrangian Point (L1), where the gravitational balance between the Sun and Earth provides a stable position for SOHO to orbit. SOHO is continually eclipsing the Sun from the Earth at a distance of approximately 1.5 million kilometres.

SOHO is managed by scientists from the European Space Agency (ESA) and NASA. Containing more instruments than both TRACE and Yohkoh, this large solar mission was designed to look at the chain from the solar interior, the solar corona to the solar wind. SOHO has 12 instruments on board, including the Coronal Diagnostic Spectrometer (CDS), the Extreme ultraviolet Imaging Telescope (EIT), the Solar Ultraviolet Measurements of Emitted Radiation (SUMER) and the UltraViolet Coronagraph Spectrometer (UVCS), which are all used extensively in the study of the transition region and corona.

The EIT instrument is used extensively in coronal loop observations. EIT images the transition region through to the inner corona by utilising four band passes, 171 Å FeIX, 195 Å FeXII, 284 Å FeXV and 304 Å HeII, each corresponding to different EUV temperatures, probing the chromospheric network to the lower corona.

The Transition Region And Coronal Explorer (TRACE) was launched in April 1998 from Vandenberg Air Force Base as part of NASA's Goddard Space Flight Center Small Explorer (SMEX) project. The small orbiting instrument has a 30×160 cm, 8.66 m focal length Cassegrain telescope with a 1200×1200px CCD detector. The timing of the launch was planned to coincide with the rising phase of the solar maximum. Observations of the transition region and lower corona could then be carried out in conjunction with SOHO to give an unprecedented view of the solar environment during this exciting phase of the solar cycle.

Due to the high spatial (1 arc second) and temporal resolution (1–5 seconds), TRACE has been able to capture highly detailed images of coronal structures, whilst SOHO provides the global (lower resolution) picture of the Sun. This campaign demonstrates the observatory's ability to track the evolution of steady-state (or quiescent) coronal loops. TRACE utilizes filters that are sensitive to electromagnetic radiation in the 171 Å FeIX, 195 Å FeXII, 284 Å FeXV, 1216 Å HI, 1550 Å CIV and 1600 Å range. Of particular interest are the 171 Å, 195 Å and 284 Å band passes, as they are sensitive to the radiation emitted by quiescent coronal loops.

Dynamic flows

The new solar observatory Hinode (Solar-B), launched September 2006, will observe the magnetic structure of the corona.

All of the above space missions have been highly successful in observing strong plasma flows and highly dynamic processes in coronal loops. For example, SUMER observations suggest flow velocities of 5–16 km/s in the solar disk, and other joint SUMER/TRACE observations detect flows of 15–40 km/s.[9][10] Very high velocities have been detected by the Flat Crystal Spectrometer (FCS) on board the Solar Maximum Mission, where plasma velocities were found in the range of 40–60 km/s.

Useful links

References

  1. Vourlidas, A.; J. A. Klimchuk; C. M. Korendyke; T. D. Tarbell; B. N. Handy (2001). "On the correlation between coronal and lower transition region structures at arcsecond scales". Astrophysical Journal. 563 (1): 374–380. Bibcode:2001ApJ...563..374V. doi:10.1086/323835.
  2. Aschwanden, M. J. (2001). "An evaluation of coronal heating models for Active Regions based on Yohkoh, SOHO, and TRACE observations". Astrophysical Journal. 560 (2): 1035–1044. Bibcode:2001ApJ...560.1035A. doi:10.1086/323064.
  3. Aschwanden, M. J. (2004). Physics of the Solar Corona. An Introduction. Praxis Publishing Ltd. ISBN 3-540-22321-5.
  4. Litwin, C.; R. Rosner (1993). "On the structure of solar and stellar coronae – Loops and loop heat transport". ApJ. 412: 375–385. Bibcode:1993ApJ...412..375L. doi:10.1086/172927.
  5. Boland, B. C.; E. P. Dyer; J. G. Firth; A. H. Gabriel; B. B. Jones; C. Jordan; R.W. P. McWhirter; P. Monk; R. F. Turner (1975). "Further measurements of emission line profiles in the solar ultraviolet spectrum". MNRAS. 171: 697–724. Bibcode:1975MNRAS.171..697B. doi:10.1093/mnras/171.3.697.
  6. Vaiana, G. S.; J. M. Davis; R. Giacconi; A. S. Krieger; J. K. Silk; A. F. Timothy; M. Zombeck (1973). "X-Ray Observations of Characteristic Structures and Time Variations from the Solar Corona: Preliminary Results from SKYLAB". Astrophysical Journal Letters. 185: L47–L51. Bibcode:1973ApJ...185L..47V. doi:10.1086/181318.
  7. Strong, K. T.; J. L. R. Saba; B. M. Haisch; J. T. Schmelz (1999). The many faces of the Sun: a summary of the results from NASA’s Solar Maximum Mission. New York: Springer.
  8. Aschwanden, M. J. (2002). "Observations and models of coronal loops: From Yohkoh to TRACE, in Magnetic coupling of the solar atmosphere". 188: 1–9.
  9. Spadaro, D.; A. C. Lanzafame; L. Consoli; E. Marsch; D. H. Brooks; J. Lang (2000). "Structure and dynamics of an active region loop system observed on the solar disc with SUMER on SOHO". Astronomy & Astrophysics. 359: 716–728.
  10. Winebarger, A. R.; H. Warren; A. van Ballegooijen; E. E. DeLuca; L. Golub (2002). "Steady flows detected in extreme-ultraviolet loops". Astrophysical Journal Letters. 567 (1): L89–L92. Bibcode:2002ApJ...567L..89W. doi:10.1086/339796.
This article is issued from Wikipedia - version of the 9/9/2016. The text is available under the Creative Commons Attribution/Share Alike but additional terms may apply for the media files.