Bisphosphoglycerate mutase

bisphosphoglycerate mutase

Crystallographic structure of dimeric human bisphosphoglycerate mutase.[1]
Identifiers
EC number 5.4.2.4
CAS number 37211-69-1
Databases
IntEnz IntEnz view
BRENDA BRENDA entry
ExPASy NiceZyme view
KEGG KEGG entry
MetaCyc metabolic pathway
PRIAM profile
PDB structures RCSB PDB PDBe PDBsum
Gene Ontology AmiGO / EGO
2,3-bisphosphoglycerate mutase
Identifiers
Symbol BPGM
Entrez 669
HUGO 1093
OMIM 222800
RefSeq NM_001724
UniProt P07738
Other data
EC number 5.4.2.4
Locus Chr. 7 q31-q34

Bisphosphoglycerate mutase (BPGM) is an enzyme unique to erythrocytes and placental cells.[2] It is responsible for the catalytic synthesis of 2,3-Bisphosphoglycerate (2,3-BPG) from 1,3-bisphosphoglycerate. BPGM also has a mutase and a phosphatase function, but these are much less active, in contrast to its glycolitic cousin, phosphoglycerate mutase (PGM), which favors these two functions, but can also catalyze the synthesis of 2,3-BPG to a lesser extent.

Tissue distribution

Because the main function of bisphosphoglycerate mutase is the synthesis of 2,3-BPG, this enzyme is found only in erythrocytes and placental cells.[2] In glycolysis, converting 1,3-BPG to 2,3-BPG would be very inefficient, as it just adds another unnecessary step. Since the main role of 2,3-BPG is to shift the equilibrium of hemoglobin toward the deoxy-state, its production is really only useful in the cells which contain hemoglobin- erythrocytes and placental cells.

Function

1,3-BPG is formed as an intermediate in glycolysis. BPGM then takes this and converts it to 2,3-BPG, which serves an important function in oxygen transport. 2,3-BPG binds with high affinity to Hemoglobin, causing a conformational change that results in the release of oxygen. Local tissues can then pick up the free oxygen. This is also important in the placenta, where fetal and maternal blood come within such close proximity. With the placenta producing 2,3-BPG, a large amount of oxygen is released from nearby maternal hemoglobin, which can then dissociate and bind with fetal hemoglobin, which has a much lower affinity for 2,3-BPG.[2]

Structure

Overall

BPGM is a dimer composed of two identical protein subunits, each with its own active site. Each subunit consists six β-strands, β A-F, and ten α-helices, α 1-10. Dimerization occurs along the faces of β C and α 3 of both monomers.[1] BPGM is roughly 50% identical to its PGM counterpart, with the main active-site residues conserved in nearly all PGMs and BPGMs.[1]

Important residues

2-3 Bisphosphoglycerate in the active site of Bisphosphoglycerate Mutase. Depicted and labeled are the residues that assist in holding the substrate in place: Arg10, Arg62, Arg100, Arg116, Arg117, His11, His188, Trp92, Asn190, Glu89. 
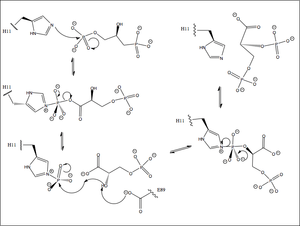
2-D depiction of all residues in active site that help hold the substrate in the proper position for mutation.[3] 
Mechanism for conversion of 1-3BPG to 2-3 BPG.[3] 

Mechanism of catalysis

1,3-BPG binds to the active site, which causes a conformational change, in which the cleft around the active site closes in on the substrate, securely locking it in place.[3] 1,3-BPG forms a large number of hydrogen bonds to the surrounding residues, many which are positively charged, severely restricting its mobility. Its rigidity suggests a very enthalpically driven association. Conformational changes cause His11 to rotate, partially aided by hydrogen bonding to His188. His11 is brought in–line with the phosphate group, and then goes through an SN2 mechanism in which His11 is the nucleophile that attacks the phosphate group.[3] The 2’ hydroxy group then attacks the phosphate and removes it from His11, thereby creating 2,3-BPG.

References

  1. 1 2 3 PDB: 1T8P; Wang Y, Wei Z, Bian Q, Cheng Z, Wan M, Liu L, Gong W (September 2004). "Crystal structure of human bisphosphoglycerate mutase". J. Biol. Chem. 279 (37): 39132–8. doi:10.1074/jbc.M405982200. PMID 15258155.
  2. 1 2 3 Pritlove DC, Gu M, Boyd CA, Randeva HS, Vatish M (August 2006). "Novel placental expression of 2,3-bisphosphoglycerate mutase". Placenta. 27 (8): 924–7. doi:10.1016/j.placenta.2005.08.010. PMID 16246416.
  3. 1 2 3 4 5 Wang Y, Liu L, Wei Z, Cheng Z, Lin Y, Gong W (December 2006). "Seeing the process of histidine phosphorylation in human bisphosphoglycerate mutase". J. Biol. Chem. 281 (51): 39642–8. doi:10.1074/jbc.M606421200. PMID 17052986.
  4. 1 2 Garel MC, Lemarchandel V, Calvin MC, Arous N, Craescu CT, Prehu MO, Rosa J, Rosa R (April 1993). "Amino acid residues involved in the catalytic site of human erythrocyte bisphosphoglycerate mutase. Functional consequences of substitutions of His10, His187 and Arg89". Eur. J. Biochem. 213 (1): 493–500. doi:10.1111/j.1432-1033.1993.tb17786.x. PMID 8477721.
  5. Ravel P, Craescu CT, Arous N, Rosa J, Garel MC (May 1997). "Critical role of human bisphosphoglycerate mutase Cys22 in the phosphatase activator-binding site". J. Biol. Chem. 272 (22): 14045–50. doi:10.1074/jbc.272.22.14045. PMID 9162026.

Further reading

External links

This article is issued from Wikipedia - version of the 5/24/2016. The text is available under the Creative Commons Attribution/Share Alike but additional terms may apply for the media files.