Enyne

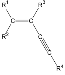
The structure of a typical enyne group.
An enyne is a functional group in organic chemistry consisting of a conjugated alkyne and alkene group.
See also
This article is issued from Wikipedia - version of the 3/15/2013. The text is available under the Creative Commons Attribution/Share Alike but additional terms may apply for the media files.