Equation of exchange
In economics, the equation of exchange is the relation:
where, for a given period,
is the total nominal amount of money supply in circulation on average in an economy.
is the velocity of money, that is the average frequency with which a unit of money is spent.
is the price level.
is an index of real expenditures (on newly produced goods and services).
Thus PQ is the level of nominal expenditures. This equation is a rearrangement of the definition of velocity: V = PQ / M. As such, without the introduction of any assumptions, it is a tautology. The quantity theory of money adds assumptions about the money supply, the price level, and the effect of interest rates on velocity to create a theory about the causes of inflation and the effects of monetary policy.
In earlier analysis before the wide availability of the national income and product accounts, the equation of exchange was more frequently expressed in transactions form:
where
is the transactions velocity of money, that is the average frequency across all transactions with which a unit of money is spent (including not just expenditures on newly produced goods and services, but also purchases of used goods, financial transactions involving money, etc.).
is an index of the real value of aggregate transactions.
Foundation
The foundation of the equation of exchange is the more complex relation
where
and
are the respective price and quantity of the i-th transaction.
is a row vector of the
.
is a column vector of the
.
The equation
is based upon the presumption of the classical dichotomy — that there is a relatively clean distinction between overall increases or decreases in prices and underlying, “real” economic variables — and that this distinction may be captured in terms of price indices, so that inflationary or deflationary components of p may be extracted as the multiplier P, which is the aggregate price level:
where
is a row vector of relative prices; and likewise for
Applications
Quantity theory of money
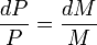
The quantity theory of money is most often expressed and explained in mainstream economics by reference to the equation of exchange. For example, a rudimentary theory could begin with the rearrangement
If
and
were constant or growing at the same fixed rate as each other, then:
and thus
where
is time.
That is to say that, if
and
were constant or growing at equal fixed rates, then the inflation rate would exactly equal the growth rate of the money supply.
An opponent of the quantity theory would not be bound to reject the equation of exchange, but could instead postulate offsetting responses (direct or indirect) of
or of
to
.
Money demand
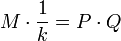
Economists Alfred Marshall, A.C. Pigou, and John Maynard Keynes, associated with Cambridge University, focusing on money demand instead of money supply, argued that a certain portion of the money supply will not be used for transactions, but instead it will be held for the convenience and security of having cash on hand. This proportion of cash is commonly represented as
, a portion of nominal income (
). (The Cambridge economists also thought wealth would play a role, but wealth is often omitted for simplicity.) The Cambridge equation for demand for cash balances is thus:[1]
which, given the classical dichotomy and that real income must equal expenditures
, is equivalent to
Assuming that the economy is at equilibrium (
), that real income is exogenous, and that k is fixed in the short run, the Cambridge equation is equivalent to the equation of exchange with velocity equal to the inverse of k:
The money demand function is often conceptualized in terms of a liquidity function,
,
where
is real income and
is the real rate of interest. If
is taken to be a function of
, then in equilibrium
History
The equation of exchange was stated by John Stuart Mill[2] who expanded on the ideas of David Hume.[3] The algebraic formulation comes from Irving Fisher, 1911.
See also
Notes
- ↑ Froyen, Richard T. Macroeconomics: Theories and Policies. 3rd Edition. Macmillan Publishing Company: New York, 1990. p. 70-71.
- ↑ Mill, John Stuart; Principles of Political Economy (1848).
- ↑ Hume, David; “Of Interest” in Essays Moral and Political.
References
- Michael D. Bordo (1987). "equation of exchange," The New Palgrave: A Dictionary of Economics, v. 2, pp. 175–77.
- Milton Friedman (1987. “quantity theory of money”, in The New Palgrave: A Dictionary of Economics ), v. 4, pp. 3–20.











