FEE method
In mathematics, the FEE method is the method of fast summation of series of a special form. It was constructed in 1990 by E. A. Karatsuba[1][2] and was called FEE—Fast E-function Evaluation—because it makes it possible fast computations of the Siegel
-functions, and in particular, 
A class of functions, which are 'similar to the exponential function' was given the name 'E-functions' by Siegel.[3] Among these functions are such special functions as the hypergeometric function, cylinder, spherical functions and so on.
Using the FEE, it is possible to prove the following theorem
Theorem: Let
be an elementary Transcendental function, that is the exponential function, or a
trigonometric function, or an elementary algebraic function, or their superposition, or their inverse, or a superposition of the inverses. Then
Here
is the complexity of computation (bit) of the function
with accuracy up to
digits,
is the complexity of multiplication of two
-digit integers.
The algorithms based on the method FEE include the algorithms for fast calculation of any elementary Transcendental function for any value of the argument, the classical constants e,
the Euler constant
the Catalan and the Apéry constants,[4] such higher transcendental functions as the Euler gamma function and its derivatives, the hypergeometric,[5] spherical, cylinder (including the Bessel)[6] functions and some other functions for
algebraic values of the argument and parameters, the Riemann zeta function for integer values of the argument[7][8] and the Hurwitz zeta function for integer argument and algebraic values of the parameter,[9] and also such special integrals as the integral of probability, the Fresnel integrals, the integral exponential function, the trigonometric integrals, and some other integrals[10] for algebraic values of the argument with the complexity bound which is close to the optimal one, namely
At present, only the FEE makes it possible to calculate fast the values of the functions from the class of higher transcendental functions,[11] certain special integrals of mathematical physics and such classical constants as Euler's, Catalan's[12] and Apéry's constants. An additional advantage of the method FEE is the possibility of parallelizing the algorithms based on the FEE.
FEE-computation of classical constants
For fast evaluation of the
constant
one can use the Euler formula
and apply the FEE to sum the Taylor series for
with the remainder terms
which satisfy the bounds
and for
To calculate
by the
FEE it is possible to use also other approximations[13] In all cases the complexity is
To compute the Euler constant gamma with accuracy up to
digits, it is necessary to sum by the FEE two series. Namely, for
The complexity is
To evaluate fast the constant
it is possible to apply the
FEE to other approximations.[14]
FEE-computation of certain power series
By the FEE the two following series are calculated fast:
under the assumption that
are
integers,
and
are constants, and
is an algebraic number. The complexity of the evaluation of the series is
The FEE details on the example of fast calculation of the classical constant e
For the evaluation of the constant
take
, terms of the Taylor series for 
Here we choose
, requiring that for the remainder
the
inequality
is fulfilled. This is the case, for
example, when
Thus, we take
such that the natural number
is determined by the
inequalities:
We calculate the sum
in
steps of the following process.
Step 1. Combining in
the summands sequentially in pairs we
carry out of the brackets the "obvious" common factor and obtain
We shall compute only integer values of the expressions in the parentheses, that is the values
Thus, at the first step the sum
is into
At the first step
integers of the form
are calculated. After that we act in a similar way: combining on
each step the summands of the sum
sequentially in pairs, we
take out of the brackets the 'obvious' common factor and compute
only the integer values of the expressions in the brackets. Assume
that the first
steps of this process are completed.
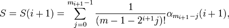
Step
(
).
we compute only
integers of the form
Here
is the product of
integers.
Etc.
Step
, the last one. We compute one integer value
we compute, using the fast algorithm described
above the value
and make one division of the integer
by the integer
with accuracy up to
digits. The obtained result is the sum
or the constant
up
to
digits. The complexity of all computations is
See also
References
- ↑ E.A. Karatsuba, Fast evaluations of transcendental functions. Probl. Peredachi Informat., Vol. 27, N 4, (1991)
- ↑ D.W. Lozier and F.W.J. Olver, Numerical Evaluation of Special Functions. Mathematics of Computation 1943-1993: A Half-Century of Computational Mathematics, W. Gautschi, eds., Proc. Sympos. Applied Mathematics, AMS, Vol.48 (1994).
- ↑ C.L. Siegel, Transcendental numbers. Princeton University Press, Princeton (1949).
- ↑ Karatsuba E. A., Fast evaluation of
, Probl. Peredachi Informat., Vol. 29, N 1 (1993) - ↑ Ekatharine A. Karatsuba, Fast evaluation of hypergeometric function by FEE. Computational Methods and Function Theory (CMFT'97), N. Papamichael, St. Ruscheweyh and E.B. Saff, eds., World Sc.Pub. (1999)
- ↑ Catherine A. Karatsuba, Fast evaluation of Bessel functions. Integral Transforms and Special Functions, Vol. 1, N4 (1993)
- ↑ E. A. Karatsuba, Fast Evaluation of Riemann zeta-function
for integer values of argument
. Probl. Peredachi Informat., Vol. 31, N 4 (1995). - ↑ J.M. Borwein, D.M. Bradley and R.E. Crandall, Computational strategies for the Riemann zeta function. J. of Comput. Appl. Math., Vol. 121 ,N 1-2 (2000).
- ↑ E.A. Karatsuba, Fast evaluation of Hurwitz zeta function and Dirichlet
-series, Problem. Peredachi Informat., Vol. 34, N 4, pp. 342–353, (1998). - ↑ E.A. Karatsuba, Fast computation of some special integrals of mathematical physics. Scientific Computing, Validated Numerics, Interval Methods, W.Kramer, J.W.von Gudenberg, eds.(2001).
- ↑ E. Bach, The complexity of number-theoretic constants. Info. Proc. Letters, N 62 (1997).
- ↑ E.A. Karatsuba, Fast computation of $\zeta(3)$ and of some special integrals ,using the polylogarithms, the Ramanujan formula and its generalization. J. of Numerical Mathematics BIT, Vol. 41, N 4 (2001).
- ↑ D.H. Bailey, P.B. Borwein and S. Plouffe, On the rapid computation of various polylogarithmic constants. Math. Comp.,Vol. 66 (1997).
- ↑ R.P. Brent and E.M. McMillan, Some new algorithms for high-precision computation of Euler's constant. Math. Comp., Vol.34 (1980).






























