Alvocidib

Alvocidib
Names
IUPAC name
2-(2-chlorophenyl)-5,7-dihydroxy-8-[(3S,4R)-3-hydroxy-1-methyl-4-piperidinyl]-4-chromenone
Identifiers
146426-40-6 N
3D model (Jmol) Interactive image
ChEBI CHEBI:47344 N
ChEMBL ChEMBL428690 N
ChemSpider 4450222 YesY
DrugBank DB03496 YesY
5680
MeSH Flavopiridol
PubChem 5287969
UNII 45AD6X575G YesY
Properties
C21H20ClNO5
Molar mass 401.8402
Except where otherwise noted, data are given for materials in their standard state (at 25 °C [77 °F], 100 kPa).
N verify (what is YesYN ?)
Infobox references

Alvocidib (INN; also known as Flavopiridol or HMR-1275) is a flavonoid alkaloid CDK9 kinase inhibitor under clinical development for the treatment of acute myeloid leukemia, by Tolero Pharmaceuticals, Inc. It has been studied also for the treatment of arthritis[1] and atherosclerotic plaque formation [2] The target of Flavopiridol is the positive transcription elongation factor P-TEFb.[3][4] Treatment of cells with Flavopiridol leads to inhibition of P-TEFb and the loss of mRNA production.[5][6]

Synthesis

Flavone inhibitor of cyclin-dependent kinases; the (-)-cis form induces apoptosis in certain tumor cells.

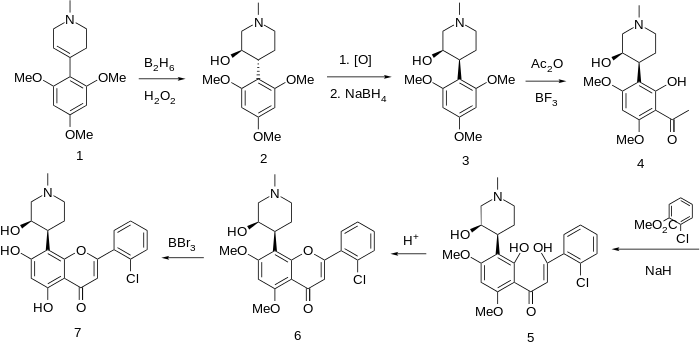
Flavopiridol synthesis: S. L. Kattige et al., EP 241003 ; eidem, U.S. Patent 4,900,727 Naik et al. U.S. Patent 5,284,856 (1987, 1990, 1994 all to Hoechst).

Tetrahydropyridine (1) is obtainable by reacting N-methyl-4-piperidone with 1,3,5-trimethoxybenzene (trimethyl-Phloroglucinol) in HOAc and bubbling through HCl gas, which must cause dehydration of the initially formed 3° alcohol to o,o,p-trimethoxy-MPTP. For the next step, hydroboration of the product from the last step is done by the addition of diborane to the olefin, followed by oxidation of the hydroborane adduct with a peroxide then affords the hydration product as the trans isomer (2). {Although borane is the usual reagent, it appears here that it is generated in situ from BF3 and NaBH4.} The stereochemistry of that hydroxy group is reversed in 2 steps starting by what appears to be a Swern oxidation to a ketone; which is then reduced with NaBH4 to afford (3). The cis relationship is apparently based on the principle that the hydride ion approaches from the less sterically occluded/precluded side, which in this case is opposite to the Ar. 3 is then acylated with acetic anhydride in the presence of BF3. Using an excess of the latter reagent leads to selective desmethylation of the ether adjacent to the newly introduced acetyl function (4). Claisen condensation of that product with methyl-2-chlorobenzoate would then afford the β-diketone (5). A stream of dry HCl gas in a condensation reaction splits out one equivalent of water and formation of the pyran ring by an addition-elimination reaction (6). Desmethylation of the two remaining methoxy groups (phenolic ethers), for example boron tribromide, would then afford alvocidib (7).

Orphan drug

Tolero Pharmaceuticals Inc. announced that the FDA has granted orphan drug designation for Alvocidib, its cyclin-dependent kinase small molecule inhibitor, for the treatment of patients with acute myeloid leukemia.[7]

References

  1. Sekine C, Sugihara T, Miyake S, Hirai H, Yoshida M, Miyasaka N, Kohsaka H (2008). "Successful treatment of animal models of rheumatoid arthritis with small-molecule cyclin-dependent kinase inhibitors". J. Immunol. 180 (3): 1954–61. doi:10.4049/jimmunol.180.3.1954. PMID 18209094.
  2. Ruef J, Meshel AS, Hu Z, Horaist C, Ballinger CA, Thompson LJ, Subbarao VD, Dumont JA, Patterson C (1999). "Flavopiridol inhibits smooth muscle cell proliferation in vitro and neointimal formation In vivo after carotid injury in the rat". Circulation. 100 (6): 659–65. doi:10.1161/01.cir.100.6.659. PMID 10441105.
  3. Chao SH, Fujinaga K, Marion JE, Taube R, Sausville EA, Senderowicz AM, Peterlin BM, Price DH (2000). "Flavopiridol inhibits P-TEFb and blocks HIV-1 replication". J. Biol. Chem. 275 (37): 28345–8. doi:10.1074/jbc.C000446200. PMID 10906320.
  4. Chao SH, Price DH (2001). "Flavopiridol inactivates P-TEFb and blocks most RNA polymerase II transcription in vivo". J. Biol. Chem. 276 (34): 31793–9. doi:10.1074/jbc.M102306200. PMID 11431468.
  5. Cheng B, Li T, Rahl PB, Adamson TE, Loudas NB, Guo J, Varzavand K, Cooper JJ, Hu X, Gnatt A, Young RA, Price DH (2012). "Functional association of Gdown1 with RNA polymerase II poised on human genes". Mol. Cell. 45 (1): 38–50. doi:10.1016/j.molcel.2011.10.022. PMC 3259526Freely accessible. PMID 22244331.
  6. Rahl PB, Lin CY, Seila AC, Flynn RA, McCuine S, Burge CB, Sharp PA, Young RA (2010). "c-Myc regulates transcriptional pause release". Cell. 141 (3): 432–45. doi:10.1016/j.cell.2010.03.030. PMC 2864022Freely accessible. PMID 20434984.
  7. http://www.healio.com/hematology-oncology/hematologic-malignancies/news/online/%7B74c6a69e-4529-400d-98e9-d5ee6c602122%7D/fda-grants-orphan-drug-status-to-alvocidib-for-aml


This article is issued from Wikipedia - version of the 8/22/2016. The text is available under the Creative Commons Attribution/Share Alike but additional terms may apply for the media files.