Ford–Fulkerson algorithm

The FordFulkerson method or Ford–Fulkerson algorithm (FFA) is a greedy algorithm that computes the maximum flow in a flow network. It is called a "method" instead of an "algorithm" as the approach to finding augmenting paths in a residual graph is not fully specified[1] or it is specified in several implementations with different running times.[2] It was published in 1956 by L. R. Ford, Jr. and D. R. Fulkerson.[3] The name "FordFulkerson" is often also used for the Edmonds–Karp algorithm, which is a specialization of FordFulkerson.

The idea behind the algorithm is as follows: as long as there is a path from the source (start node) to the sink (end node), with available capacity on all edges in the path, we send flow along one of the paths. Then we find another path, and so on. A path with available capacity is called an augmenting path.

Algorithm

Let be a graph, and for each edge from to , let be the capacity and be the flow. We want to find the maximum flow from the source to the sink . After every step in the algorithm the following is maintained:

Capacity constraints: The flow along an edge can not exceed its capacity.
Skew symmetry: The net flow from to must be the opposite of the net flow from to (see example).
Flow conservation: That is, unless is or . The net flow to a node is zero, except for the source, which "produces" flow, and the sink, which "consumes" flow.
Value(f): That is, the flow leaving from must be equal to the flow arriving at .

This means that the flow through the network is a legal flow after each round in the algorithm. We define the residual network to be the network with capacity and no flow. Notice that it can happen that a flow from to is allowed in the residual network, though disallowed in the original network: if and then .

Algorithm FordFulkerson

Inputs Given a Network with flow capacity , a source node , and a sink node
Output Compute a flow from to of maximum value
  1. for all edges
  2. While there is a path from to in , such that for all edges :
    1. Find
    2. For each edge
      1. (Send flow along the path)
      2. (The flow might be "returned" later)

The path in step 2 can be found with for example a breadth-first search or a depth-first search in . If you use the former, the algorithm is called Edmonds–Karp.

When no more paths in step 2 can be found, will not be able to reach in the residual network. If is the set of nodes reachable by in the residual network, then the total capacity in the original network of edges from to the remainder of is on the one hand equal to the total flow we found from to , and on the other hand serves as an upper bound for all such flows. This proves that the flow we found is maximal. See also Max-flow Min-cut theorem.

If the graph has multiple sources and sinks, we act as follows: Suppose that and . Add a new source with an edge from to every node , with capacity . And add a new sink with an edge from every node to , with capacity . Then apply the FordFulkerson algorithm.

Also, if a node has capacity constraint , we replace this node with two nodes , and an edge , with capacity . Then apply the FordFulkerson algorithm.

Complexity

By adding the flow augmenting path to the flow already established in the graph, the maximum flow will be reached when no more flow augmenting paths can be found in the graph. However, there is no certainty that this situation will ever be reached, so the best that can be guaranteed is that the answer will be correct if the algorithm terminates. In the case that the algorithm runs forever, the flow might not even converge towards the maximum flow. However, this situation only occurs with irrational flow values. When the capacities are integers, the runtime of Ford–Fulkerson is bounded by (see big O notation), where is the number of edges in the graph and is the maximum flow in the graph. This is because each augmenting path can be found in time and increases the flow by an integer amount of at least .

A variation of the FordFulkerson algorithm with guaranteed termination and a runtime independent of the maximum flow value is the Edmonds–Karp algorithm, which runs in time.

Integral example

The following example shows the first steps of Ford–Fulkerson in a flow network with 4 nodes, source and sink . This example shows the worst-case behaviour of the algorithm. In each step, only a flow of is sent across the network. If breadth-first-search were used instead, only two steps would be needed.

Path Capacity Resulting flow network
Initial flow network
After 1998 more steps …
Final flow network

Notice how flow is "pushed back" from to when finding the path .

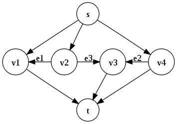
Non-terminating example

Consider the flow network shown on the right, with source , sink , capacities of edges , and respectively , and and the capacity of all other edges some integer . The constant was chosen so, that . We use augmenting paths according to the following table, where , and .

Step Augmenting path Sent flow Residual capacities
0
1
2
3
4
5

Note that after step 1 as well as after step 5, the residual capacities of edges , and are in the form , and , respectively, for some . This means that we can use augmenting paths , , and infinitely many times and residual capacities of these edges will always be in the same form. Total flow in the network after step 5 is . If we continue to use augmenting paths as above, the total flow converges to , while the maximum flow is . In this case, the algorithm never terminates and the flow doesn't even converge to the maximum flow.[4]

Python implementation

class Edge(object):
    def __init__(self, u, v, w):
        self.source = u
        self.sink = v  
        self.capacity = w
    def __repr__(self):
        return "%s->%s:%s" % (self.source, self.sink, self.capacity)

class FlowNetwork(object):
    def __init__(self):
        self.adj = {}
        self.flow = {}
 
    def add_vertex(self, vertex):
        self.adj[vertex] = []
 
    def get_edges(self, v):
        return self.adj[v]
 
    def add_edge(self, u, v, w=0):
        if u == v:
            raise ValueError("u == v")
        edge = Edge(u,v,w)
        redge = Edge(v,u,0)
        edge.redge = redge
        redge.redge = edge
        self.adj[u].append(edge)
        self.adj[v].append(redge)
        self.flow[edge] = 0
        self.flow[redge] = 0
 
    def find_path(self, source, sink, path):
        if source == sink:
            return path
        for edge in self.get_edges(source):
            residual = edge.capacity - self.flow[edge]
            if residual > 0 and edge not in path:
                result = self.find_path( edge.sink, sink, path + [edge]) 
                if result != None:
                    return result
 
    def max_flow(self, source, sink):
        path = self.find_path(source, sink, [])
        while path != None:
            residuals = [edge.capacity - self.flow[edge] for edge in path]
            flow = min(residuals)
            for edge in path:
                self.flow[edge] += flow
                self.flow[edge.redge] -= flow
            path = self.find_path(source, sink, [])
        return sum(self.flow[edge] for edge in self.get_edges(source))

Usage example

For the example flow network in maximum flow problem we do the following:

>>> g = FlowNetwork()
>>> [g.add_vertex(v) for v in "sopqrt"]
[None, None, None, None, None, None]
>>>
>>> g.add_edge('s','o',3)
>>> g.add_edge('s','p',3)
>>> g.add_edge('o','p',2)
>>> g.add_edge('o','q',3)
>>> g.add_edge('p','r',2)
>>> g.add_edge('r','t',3)
>>> g.add_edge('q','r',4)
>>> g.add_edge('q','t',2)
>>> print (g.max_flow('s','t'))
5

Notes

  1. Laung-Terng Wang, Yao-Wen Chang, Kwang-Ting (Tim) Cheng (2009). Electronic Design Automation: Synthesis, Verification, and Test. Morgan Kaufmann. p. 204. ISBN 0080922007.
  2. Thomas H. Cormen; Charles E. Leiserson; Ronald L. Rivest; Clifford Stein (2009). Introduction to Algorithms. MIT Press. p. 714. ISBN 0262258102.
  3. Ford, L. R.; Fulkerson, D. R. (1956). "Maximal flow through a network" (PDF). Canadian Journal of Mathematics. 8: 399–404. doi:10.4153/CJM-1956-045-5.
  4. Zwick, Uri (21 August 1995). "The smallest networks on which the Ford–Fulkerson maximum flow procedure may fail to terminate". Theoretical Computer Science. 148 (1): 165–170. doi:10.1016/0304-3975(95)00022-O.

References

See also

Media related to Ford–Fulkerson algorithm at Wikimedia Commons

This article is issued from Wikipedia - version of the 12/2/2016. The text is available under the Creative Commons Attribution/Share Alike but additional terms may apply for the media files.