Furoin
![]() | |
| Names | |
|---|---|
| IUPAC name
1,2-bis(2-furyl)-2-hydroxy-ethanone | |
| Identifiers | |
| 3D model (Jmol) | Interactive image |
| ChEMBL | ChEMBL364893 |
| ChemSpider | 10629 |
| PubChem | 11100 |
| |
| |
| Properties | |
| C10H8O4 | |
| Molar mass | 192.17 g·mol−1 |
| Except where otherwise noted, data are given for materials in their standard state (at 25 °C [77 °F], 100 kPa). | |
| | |
| Infobox references | |
Furoin or 1,2-di(furan-2-yl)-2-hydroxyethanone is an organic compound with formula C10H8O4. It can be produced from furfural by a benzoin condensation reaction catalyized by cyanide ions.[1]
Reactions
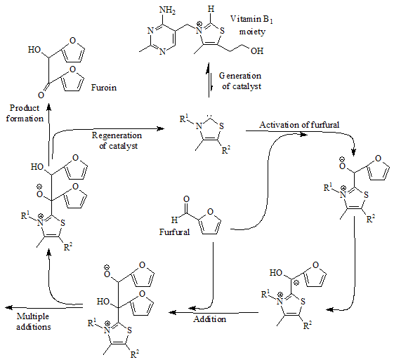
Furoin synthesis from furfural is also catalyzed by vitamin B1 (thiamine). In 1957, R. Breslow proposed that this reaction involves a relatively stable carbene form of thiamine:[2][3] In the catalytic cycle shown below two molecules of furfural react to give furoin, via a thiazol-2-ylidene catalyst, resulting from loss of one proton at carbon 2 of the thiazolium cation of vitamin B1:

Furoin formation from furfural, catalysed by thiamine
This was the first evidence for the existence of persistent carbenes.
Uses
Furoin has been used as a plasticizer.[1]
References
- 1 2 Denis Lorient (1999), New ingredients in food processing: biochemistry and agriculture. Woodhead Publishing. ISBN 1-85573-443-5. 366 pages
- ↑ Ronald Breslow (1957). "Mechanism of Thiamine Action: Participation of a Thiazolium Zwitterion". Chemistry and Industry. 26: 893.
- ↑ R. Breslow (1957). "Rapid Deuterium Exchange in Thiazolium Salts". Journal of the American Chemical Society. 79 (7): 1762–1763. doi:10.1021/ja01564a064.
This article is issued from Wikipedia - version of the 10/18/2016. The text is available under the Creative Commons Attribution/Share Alike but additional terms may apply for the media files.
