Gacyclidine
![]() | |
| Clinical data | |
|---|---|
| ATC code | none |
| Identifiers | |
| |
| CAS Number |
68134-81-6 |
| PubChem (CID) | 176265 |
| ChemSpider |
153540 |
| UNII |
9290ND070R |
| ChEMBL |
CHEMBL1742478 |
| Chemical and physical data | |
| Formula | C16H25NS |
| Molar mass | 263.4414 g/mol |
| 3D model (Jmol) | Interactive image |
| |
| |
| | |
Gacyclidine[1] (GK-11)[2] is a psychoactive drug which acts as a dissociative via functioning as a non-competitive NMDA receptor antagonist. It is closely related to phencyclidine (PCP), and specifically, is a derivative of tenocyclidine (TCP).[3][4]
Synthesis
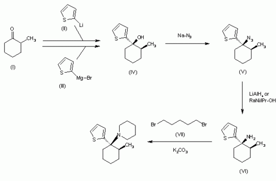
The condensation of 2-methylcyclohexanone (I) with 2-thienyllithium (II) or 2-thienylmagnesium bromide (III) gives cyclohexanol (IV) as a diastereomeric mixture, which was treated with sodium azide (NaN3) in trichloroacetic acid to yield the azide (V). The reduction of (V) with lithium aluminium hydride (LiAlH4) or Raney nickel in isopropanol affords the corresponding amine (VI), preferentially with the cis-configuration. Finally, this compound is condensed with 1,5-dibromopentane (VII) by means of potassium carbonate (K2CO3) in acetonitrile to provide the target compound as a diastereomeric mixture.[5]

See also
References
- ↑ US patent 6107495, Jean-Bernard Cazaux, Michel Dafniet, Jean-Marc Kamenka, Eric Manginot, "Thienylcyclohexane derivatives for thienylcyclohexyl synthesis"
- ↑ Jacques Hamon; Florence Espaze; Jacques Vignon; Jean-Marc Kamenka (1999). "The search for TCP analogues binding to the low affinity PCP receptor sites in the rat cerebellum". Eur. J. Med. Chem. 34 (2): 125–135. doi:10.1016/S0223-5234(99)80046-4.
- ↑ Hirbec H, Gaviria M, Vignon J (2001). "Gacyclidine: a new neuroprotective agent acting at the N-methyl-D-aspartate receptor". CNS Drug Reviews. 7 (2): 172–98. doi:10.1111/j.1527-3458.2001.tb00194.x. PMID 11474423.
- ↑ Hirbec H, Mausset AL, Kamenka JM, Privat A, Vignon J (2002). "Re-evaluation of phencyclidine low-affinity or "non-NMDA" binding sites". J Neurosci Res. 68 (3): 305–314. doi:10.1002/jnr.10203. PMID 12111860.
- ↑ US patent 5179109, Jean-Marc Kamenka et al, "Pharmaceutical compositions for neuroprotection containing arylcyclohexylamines"
| Inhalational | |||||||||||||||
|---|---|---|---|---|---|---|---|---|---|---|---|---|---|---|---|
| Injection |
| ||||||||||||||
| |||||||||||||||
| Psychedelics (5-HT2A agonists) |
| ||||||||||||||||||||||||||||||||||||||||||||||||||||||||||||||||||||||||||||||||||||||||||||||
|---|---|---|---|---|---|---|---|---|---|---|---|---|---|---|---|---|---|---|---|---|---|---|---|---|---|---|---|---|---|---|---|---|---|---|---|---|---|---|---|---|---|---|---|---|---|---|---|---|---|---|---|---|---|---|---|---|---|---|---|---|---|---|---|---|---|---|---|---|---|---|---|---|---|---|---|---|---|---|---|---|---|---|---|---|---|---|---|---|---|---|---|---|---|---|---|
| Dissociatives (NMDAR antagonists) |
| ||||||||||||||||||||||||||||||||||||||||||||||||||||||||||||||||||||||||||||||||||||||||||||||
| Deliriants (mAChR antagonists) |
| ||||||||||||||||||||||||||||||||||||||||||||||||||||||||||||||||||||||||||||||||||||||||||||||
| Others |
| ||||||||||||||||||||||||||||||||||||||||||||||||||||||||||||||||||||||||||||||||||||||||||||||
| D1-like |
| ||||||||||||||||||||||||||||||||||||||||||||||||||
|---|---|---|---|---|---|---|---|---|---|---|---|---|---|---|---|---|---|---|---|---|---|---|---|---|---|---|---|---|---|---|---|---|---|---|---|---|---|---|---|---|---|---|---|---|---|---|---|---|---|---|---|
| D2-like |
| ||||||||||||||||||||||||||||||||||||||||||||||||||
| |||||||||||||||||||||||||||||||||||||||||||||||||||
| Receptor (ligands) |
| ||||||||||||||||||||||||||||||||||||||||||
|---|---|---|---|---|---|---|---|---|---|---|---|---|---|---|---|---|---|---|---|---|---|---|---|---|---|---|---|---|---|---|---|---|---|---|---|---|---|---|---|---|---|---|---|
| Transporter (blockers) |
| ||||||||||||||||||||||||||||||||||||||||||
| Enzyme (inhibitors) |
| ||||||||||||||||||||||||||||||||||||||||||
| Others |
| ||||||||||||||||||||||||||||||||||||||||||
See also: GABAergics • GHBergics • Glycinergics | |||||||||||||||||||||||||||||||||||||||||||
