Gauss iterated map

In mathematics, the Gauss map (also known as Gaussian map[1] or mouse map), is a nonlinear iterated map of the reals into a real interval given by the Gaussian function:
where α and β are real parameters.
Named after Johann Carl Friedrich Gauss, the function maps the bell shaped Gaussian function similar to the logistic map.
Properties
In the parameter real space
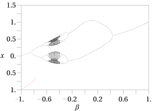
can be chaotic. The map is also called the mouse map because its bifurcation diagram resembles a mouse (see Figures).
![]() Bifurcation diagram of the Gauss map with and in the range −1 to +1. This graph resembles a mouse. |
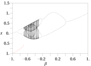
![]() Bifurcation diagram of the Gauss map with and in the range −1 to +1. |
References
- ↑ Chaos and nonlinear dynamics: an introduction for scientists and engineers, by Robert C. Hilborn, 2nd Ed., Oxford, Univ. Press, New York, 2004.
This article is issued from Wikipedia - version of the 7/31/2015. The text is available under the Creative Commons Attribution/Share Alike but additional terms may apply for the media files.
and
. This shows an 8-cycle.

in the range 
and