Carbazole

Carbazole
Names
IUPAC name
9H-carbazole
Other names
9-azafluorene, dibenzopyrrole, diphenylenimine, diphenyleneimide, USAF EK-600
Identifiers
86-74-8 YesY
3D model (Jmol) Interactive image
ChEBI CHEBI:27543 YesY
ChEMBL ChEMBL243580 YesY
ChemSpider 6593 YesY
DrugBank DB07301 YesY
ECHA InfoCard 100.001.542
KEGG C08060 YesY
PubChem 6854
UNII 0P2197HHHN YesY
Properties
C12H9N
Molar mass 167.206 g mol−1[1]
Density 1.301g/cm^3
Melting point 246.3 °C (475.3 °F; 519.5 K)[1]
Boiling point 354.69 °C (670.44 °F; 627.84 K)[1]
Hazards
Flash point 220 °C (428 °F; 493 K) [1]
Except where otherwise noted, data are given for materials in their standard state (at 25 °C [77 °F], 100 kPa).
YesY verify (what is YesYN ?)
Infobox references

Carbazole is an aromatic heterocyclic organic compound. It has a tricyclic structure, consisting of two six-membered benzene rings fused on either side of a five-membered nitrogen-containing ring. The compound's structure is based on the indole structure but in which a second benzene ring is fused onto the five-membered ring at the 2–3 position of indole (equivalent to the 9a–4a double bond in carbazole respectively).

Synthesis

A classic laboratory organic synthesis for carbazole is the Borsche–Drechsel cyclization.[2][3]

Borsche–Drechsel synthesis

In the first step phenylhydrazine is condensed with cyclohexanone to the corresponding imine. The second step is a hydrochloric acid catalyzed rearrangement reaction and ring-closing reaction to tetrahydrocarbazole. In one modification, both steps are rolled into one by carrying out the reaction in acetic acid.[4] In the third step this compound is oxidized by Red lead to carbazole itself. Another classic is the Bucherer carbazole synthesis

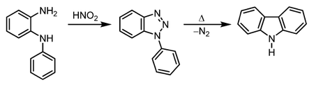
A second method for the synthesis of carbazole is the Graebe–Ullmann reaction.

In the first step, an N-phenyl-1,2-diaminobenzene (N-phenyl-o-phenylenediamine) is converted into a diazonium salt which instantaneously forms a 1,2,3-triazole. The triazole is unstable and at elevated temperatures nitrogen is set free and the carbazole is formed.[5][6]

Use

Aminoethylcarbazole is used in the production of pigment violet 23.

CI Pigment Violet 23 Synthesis: U.S. Patent 4,345,074

Related aromatic compounds

References

  1. 1 2 3 4 Lide, David R. (2007). CRC Handbook of Chemistry and Physics, 88th Edition. CRC Press. pp. 3–86. ISBN 978-0-8493-0488-0.
  2. W. Borsche (1908). "Ueber Tetra- und Hexahydrocarbazolverbindungen und eine neue Carbazolsynthese. (Mitbearbeitet von. A. Witte und W. Bothe.)". Justus Liebig's Annalen der Chemie. 359 (1–2): 49–80. doi:10.1002/jlac.19083590103.
  3. E. Drechsel (1888). "Ueber Elektrolyse des Phenols mit Wechselströmen". Journal für praktische Chemie (in German). 38 (1): 65–74. doi:10.1002/prac.18880380105.
  4. Organic Syntheses, Coll. Vol. 4, p.884 (1963); Vol. 30, p.90 (1950). Link
  5. Carl Graebe and Fritz Ullmann (1896). "Ueber eine neue Carbazolsynthese". Justus Liebig's Annalen der Chemie. 291 (1): 16–17. doi:10.1002/jlac.18962910104.
  6. O. Bremer (1934). "Über die Bedeutung der Graebe-Ullmannschen Carbazolsynthese und deren Übertragung auf N-substituierte Pyridino-triazole". Justus Liebigs Annalen der Chemie. 514: 279–291. doi:10.1002/jlac.19345140116.

External links

Wikisource has the text of the 1911 Encyclopædia Britannica article Carbazol.
This article is issued from Wikipedia - version of the 11/28/2016. The text is available under the Creative Commons Attribution/Share Alike but additional terms may apply for the media files.