Gramine

Gramine
Names
IUPAC name
1-(1H-indol-3-yl)-N,N-dimethylmethanamine
Identifiers
87-52-5 YesY
3D model (Jmol) Interactive image
ChEMBL ChEMBL254348 YesY
ChemSpider 6625 YesY
ECHA InfoCard 100.001.591
KEGG C08304 YesY
Properties
C11H14N2
Molar mass 174.24 g/mol
Melting point 138 to 139 °C (280 to 282 °F; 411 to 412 K)
Hazards
NFPA 704
Flammability code 1: Must be pre-heated before ignition can occur. Flash point over 93 °C (200 °F). E.g., canola oil Health code 2: Intense or continued but not chronic exposure could cause temporary incapacitation or possible residual injury. E.g., chloroform Reactivity code 0: Normally stable, even under fire exposure conditions, and is not reactive with water. E.g., liquid nitrogen Special hazards (white): no codeNFPA 704 four-colored diamond
1
2
0
Except where otherwise noted, data are given for materials in their standard state (at 25 °C [77 °F], 100 kPa).
YesY verify (what is YesYN ?)
Infobox references

Gramine (also called donaxine) is a naturally occurring indole alkaloid present in several plant species. Gramine may play a defensive role in these plants, since it is toxic to many organisms.[1]

Occurrence

Gramine has been found in the giant reed, Arundo donax,[2][3]Acer saccharinum (Silver Maple),[4] Hordeum,[1][3] (a grass genus that includes barley) and Phalaris[3](another grass genus).

Uses

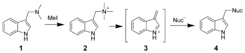
Gramine is used mostly in synthetic organic chemistry as a starting material for tryptophan syntheses.

All reactions of gramine follow the same general reaction scheme. Gramine is reacted with a strong electrophile, such as methyl iodide, to form the quaternary ammonium salt 2. The ammonium salt will undergo a Hofmann elimination or Michael addition to give the very active intermediate 3, which can accept a wide range of nucleophiles to give the desired product 4.

Effects and toxicity

Gramine has been found to act as an agonist of the adiponectin receptor 1 (AdipoR1).[5]

The LD50 of gramine is 44.6 mg/ kg iv in mice and 62.9 mg/ kg iv in rats.[6] Numerous studies have been done on the toxicity in insects harmful to crops for use as a possible insecticide.[7]

Gramine is a norepinephrine reuptake inhibitor in synaptic vesicles.

References

  1. 1 2 Corcuera, L. J. (1993). "Biochemical Basis of the Resistance of the Barley to Aphids". Phytochemistry. 33 (4): 741–747. doi:10.1016/0031-9422(93)85267-U.
  2. Orechoff, A.; Norkina, S. (1935). "Über die Alkaloide von Arundo Donax L.". Berichte der Deutschen Chemischen Gesellschaft. 68 (3): 436–437. doi:10.1002/cber.19350680312.
  3. 1 2 3 Cheeke, P. R. (1989). Toxicants of Plant Origin, Alkaloids. CRC Press. p. 172. ISBN 0-8493-6990-8.
  4. Pachter, I. J.; Zacharias, D. E.; Ribeiro, O. (1959). "Indole Alkaloids of Acer saccharinum (the Silver Maple), Dictyoloma incanescens, Piptadenia colubrina, and Mimosa hostilis". Journal of Organic Chemistry. 24 (9): 1285–1287. doi:10.1021/jo01091a032.
  5. Sun Y, Zang Z, Zhong L, Wu M, Su Q, Gao X, Zan W, Lin D, Zhao Y, Zhang Z (2013). "Identification of adiponectin receptor agonist utilizing a fluorescence polarization based high throughput assay". PLoS ONE. 8 (5): e63354. doi:10.1371/journal.pone.0063354. PMC 3653934Freely accessible. PMID 23691032.
  6. Erspamer, V. (1954). "Pharmacology of Indolealkylamines". Pharmacological Reviews. 6 (4): 425–487. PMID 13236482.
  7. Corcuera, L. J. (1984). "Effects of Indole Alkaloids from Gramineae on Aphids". Phytochemistry. 23 (3): 539–541. doi:10.1016/S0031-9422(00)80376-3.
This article is issued from Wikipedia - version of the 9/23/2016. The text is available under the Creative Commons Attribution/Share Alike but additional terms may apply for the media files.