Hankinson's equation
Hankinson's equation (also called Hankinson's formula or Hankinson's criterion)[1] is a mathematical relationship for predicting the off-axis uniaxial compressive strength of wood. The formula can also be used to compute the fiber stress or the stress wave velocity at the elastic limit as a function of grain angle in wood. For a wood that has uniaxial compressive strengths of
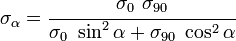
parallel to the grain and
perpendicular to the grain, Hankinson's equation predicts that the uniaxial compressive strength of the wood in a direction at an angle
to the grain is given by
Even though the original relation was based on studies of spruce, Hankinson's equation has been found to be remarkably accurate for many other types of wood. A generalized form of the Hankinson formula has also been used for predicting the uniaxial tensile strength of wood at an angle to the grain. This formula has the form[2]
where the exponent
can take values between 1.5 and 2.
The stress wave velocity at angle
to the grain at the elastic limit can similarly be obtained from the Hankinson formula
where
is the velocity parallel to the grain,
is the velocity perpendicular to the grain and
is the grain angle.
See also
| Continuum mechanics | ||||
|---|---|---|---|---|
![]() | ||||
|
Laws
|
||||
References
- ↑ Hankinson, R. L., 1921, Investigation of crushing strength of spruce at varying angles of grain, Air Force Information Circular No. 259, U. S. Air Service.
- ↑ Clouston, P., 1995, The Tsai-Wu strength theory for Douglas fir laminated veneer, M. S. Thesis, The University of British Columbia.



