Inverse mean curvature flow
In the field of differential geometry in mathematics, inverse mean curvature flow (IMCF) is an example of a geometric flow of hypersurfaces of a Riemannian manifold (for example, smooth surfaces in 3-dimensional Euclidean space). Intuitively, a family of surfaces evolves under IMCF if the outward normal speed at which a point on the surface moves is given by the reciprocal of the mean curvature of the surface. For example, a round sphere evolves under IMCF by expanding outward uniformly at an exponentially growing rate (see below). In general, this flow does not exist (for example, if a point on the surface has zero mean curvature), and even if it does, it generally develops singularities. Nevertheless, it has recently been an important tool in differential geometry and mathematical problems in general relativity.
Example: a round sphere
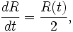
Consider a two-dimensional sphere of radius
evolving under IMCF in 3-dimensional Euclidean space, where
is the time parameter of the flow. (By symmetry considerations, a round sphere will remain round under this flow, so that the radius at time
determines the surface at time
.) The outward speed under the flow is the derivative,
, and the mean curvature equals
. (This may be computed from the first variation of area formula.) Setting the speed equal to the reciprocal of the mean curvature, we have the ordinary differential equation
which possesses a unique, smooth solution given by
where
is the radius of the sphere at time
. Thus, in this case we see that a round sphere evolves under IMCF by uniformly expanding outward with an exponentially increasing radius.
Generalization: weak IMCF
In 1997 Gerhard Huisken and T. Ilmanen showed that it makes sense to define a weak solution to IMCF. Geometrically, this means that the flow can be continued past singularities if the surface is allowed to "jump" outward at certain times.
Monotonicity of the Hawking mass
It was observed by Geroch, Jang, and Wald that if a closed, connected surface evolves smoothly under IMCF in a 3-manifold with nonnegative scalar curvature, then a certain geometric quantity associated to the surface, the Hawking mass, is non-decreasing under the flow. Amazingly, the Hawking mass is non-decreasing even under IMCF in the sense of Huisken and Ilmanen. This fact is at the heart of the geometric applications of IMCF.
Applications
In the late 1990s and early 2000s, weak IMCF has been used to
- prove the Riemannian Penrose inequality for the case of a single black hole (due to Huisken and Ilmanen)
- compute the Yamabe invariant of three-dimensional real projective space (due to H. Bray and A. Neves)
See also
References
- Huisken, G., and Ilmanen, T. "The inverse mean curvature flow and the Riemannian Penrose inequality", Journal of Differential Geometry, 59, (2001), 353-437.
- Bray, H., and Neves A. "Classification of prime 3-manifolds with Yamabe invariant greater than RP3." Annals of Mathematics,159, (2004), 407-424.

