Lossen rearrangement
| Lossen rearrangement | |
|---|---|
| Named after | Wilhelm Lossen |
| Reaction type | Rearrangement reaction |
| Identifiers | |
| RSC ontology ID | RXNO:0000156 |
The Lossen rearrangement is the conversion of a hydroxamic acid (1) to an isocyanate (3) via the formation of an O-acyl, sulfonyl, or phosphoryl intermediate hydroxamic acid O-derivative (2) and then conversion to its conjugate base. Here, 4-toluenesulfonyl chloride is used to form a sulfonyl Ortho-derivative of hydroxamic acid.[1][2][3]

The isocyanate can be used further to generate ureas in the presence of amines (4) or generate amines in the presence of H2O (5).

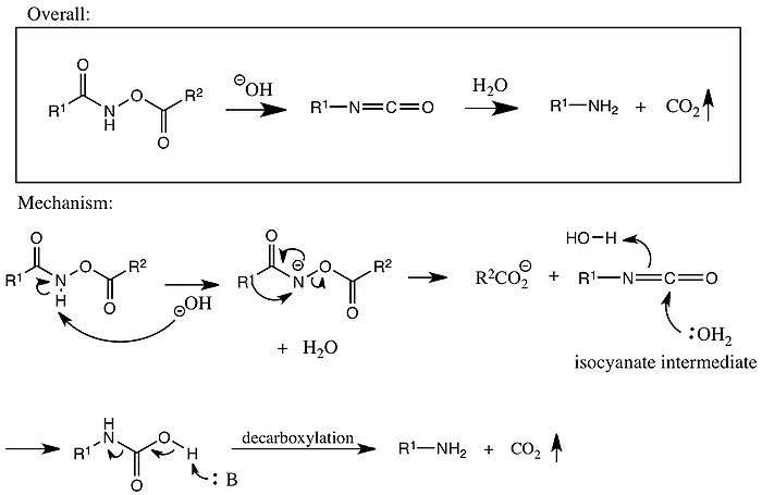
Reaction mechanism for Lossen rearrangement
The mechanism below begins with an O-acylated hydroxamic acid derivative that is treated with base to form an isocyanate that generates an amine and CO2 gas in the presence of H2O. The hydroxamic acid acid derivative is first converted to its conjugate base by abstraction of a hydrogen by a base. Spontaneous rearrangement kicks off a carboxylate anion to produce the isocyanate intermediate. The isocyanate in the presence H2O hydrolyzes and then decarboxylation via abstraction of a hydrogen by a base generates an amine and CO2 gas.

Several reviews have been published.[4][5][6]
Hydroxamic acids are commonly synthesized from their corresponding esters.[7]
See also
References
- ↑ Lossen, W. (1872). "Ueber Benzoylderivate des Hydroxylamins". Justus Liebigs Annalen der Chemie. 161 (2-3): 347–362. doi:10.1002/jlac.18721610219.
- ↑ Lossen, W. (1875). "Ueber die Structurformel des Hydroxylamins und seiner amidartigen Derivate". Justus Liebigs Annalen der Chemie. 175 (3): 271–304. doi:10.1002/jlac.18751750303.
- ↑ Lossen, W. (1875). "Methode, die Carboxylgruppe aromatischer Säuren durch die Amidgruppe zu ersetzen". Justus Liebigs Annalen der Chemie. 175 (3): 313–325. doi:10.1002/jlac.18751750305.
- ↑ Yale, H. L. (1943). "The Hydroxamic Acids". Chem. Rev. 33 (3): 209. doi:10.1021/cr60106a002.
- ↑ Bauer, L.; Exner, O. (1974). "The Chemistry of Hydroxamic Acids andN-Hydroxyimides". Angew. Chem. Int. Ed. Engl. 13 (6): 376. doi:10.1002/anie.197403761.
- ↑ Shioiri, Takayuki (1991). "Degradation Reactions". Comprehensive Organic Synthesis. 6: 795–828. doi:10.1016/B978-0-08-052349-1.00172-4. ISBN 9780080359298.
- ↑ Hauser, C. R.; Renfrow, Jr.., W. B. (1939). "Benzohydroxamic Acid". Organic Syntheses. 19: 15. doi:10.15227/orgsyn.019.0015.