Lupeol
![]() | |
| Names | |
|---|---|
| IUPAC name
(1R,3aR,5aR,5bR,7aR,9S,11aR,11bR,13aR,13bR)-3a,5a,5b,8,8,11a-hexamethyl-1-prop-1-en-2-yl-1,2,3,4,5,6,7,7a,9,10,11,11b,12,13,13a,13b-hexadecahydrocyclopenta[a]chrysen-9-ol | |
| Other names
(3β,13ξ)-Lup-20(29)-en-3-ol; Clerodol; Monogynol B; Fagarasterol; Farganasterol | |
| Identifiers | |
| 545-47-1 | |
| 3D model (Jmol) | Interactive image |
| ChEMBL | ChEMBL289191 |
| ChemSpider | 23089061 |
| ECHA InfoCard | 100.008.082 |
| PubChem | 259846 |
| |
| |
| Properties | |
| C30H50O | |
| Molar mass | 426.73 g·mol−1 |
| Except where otherwise noted, data are given for materials in their standard state (at 25 °C [77 °F], 100 kPa). | |
| Infobox references | |
Lupeol is a pharmacologically active triterpenoid. It has several potential medicinal properties.
Natural occurrences
Lupeol is found in a variety of plants, including mango, Acacia visco and Abronia villosa.[1] It is also found in dandelion coffee.
Total synthesis
The first total synthesis of lupeol was reported by Gilbert Stork et al.[2]
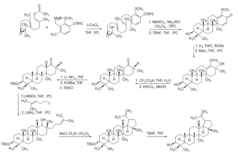
In 2009, Surendra and Corey reported a more efficient and enantioselective total synthesis of lupeol, starting from (1E,5E)-8-[(2S)-3,3-dimethyloxiran-2-yl]-2,6-dimethylocta-1,5-dienyl acetate by use of a polycyclization.[3]

Biosynthesis
Lupeol is produced by several organisms from squalene epoxide. Dammarane and baccharane skeletons are formed as intermediates. The reactions are catalyzed by the enzyme lupeol synthase.[4]
Pharmacology
Lupeol has a complex pharmacology, displaying antiprotozoal, antimicrobial, antiinflammatory, antitumor and chemopreventive properties.[5]
Animal models suggest lupeol may act as an anti-inflammatory agent. A 1998 study found lupeol to decrease paw swelling in rats by 39%, compared to 35% for the standardized control compound indomethacin.[6]
One study has also found some activity as a Dipeptidyl peptidase-4 inhibitor and prolyl oligopeptidase inhibitor at high concentrations (in the millimolar range).[7]
It is an effective inhibitor in laboratory models of prostate and skin cancers.[8][9][10]
As an anti-inflammatory agent, lupeol functions primarily on the interleukin system. Lupeol to decreases IL-4 (interleukin 4) production by T-helper type 2 cells.[5][11]
See also
References
- ↑ Starks, CM; Williams, RB; Norman, VL; Lawrence, JA; Goering, MG; O'Neil-Johnson, M; Hu, JF; Rice, SM; Eldridge, GR (2011). "Abronione, a rotenoid from the desert annual Abronia villosa". Phytochemistry letters. 4 (2): 72–74. doi:10.1016/j.phytol.2010.08.004. PMC 3099468
. PMID 21617767. - ↑ Stork, Gilbert; Uyeo, Shoichiro; Wakamatsu, T.; Grieco, P.; Labovitz, J. (1971). "Total synthesis of lupeol". Journal of the American Chemical Society. 93 (19): 4945. doi:10.1021/ja00748a068.
- ↑ Surendra, K; Corey, EJ (2009). "A short enantioselective total synthesis of the fundamental pentacyclic triterpene lupeol". Journal of the American Chemical Society. 131 (39): 13928–9. doi:10.1021/ja906335u. PMID 19788328.
- ↑ http://solcyc.solgenomics.net/LYCO/NEW-IMAGE?type=PATHWAY&object=PWY-112
- 1 2 Margareth B. C. Gallo; Miranda J. Sarachine (2009). "Biological activities of Lupeol" (PDF). International Journal of Biomedical and Pharmaceutical Sciences. 3 (Special Issue 1): 46–66.
- ↑ Geetha, T; Varalakshmi, P (2001). "Anti-inflammatory activity of lupeol and lupeol linoleate in rats". Journal of Ethnopharmacology. 76 (1): 77–80. doi:10.1016/S0378-8741(01)00175-1. PMID 11378285.
- ↑ Marques, MR; Stüker, C; Kichik, N; Tarragó, T; Giralt, E; Morel, AF; Dalcol, II (2010). "Flavonoids with prolyl oligopeptidase inhibitory activity isolated from Scutellaria racemosa Pers". Fitoterapia. 81 (6): 552–6. doi:10.1016/j.fitote.2010.01.018. PMID 20117183.
- ↑ Prasad S, Kalra N, Singh M, Shukla Y (2008). "Protective effects of lupeol and mango extract against androgen induced oxidative stress in Swiss albino mice" (PDF). Asian J Androl. 10 (2): 313–8. doi:10.1111/j.1745-7262.2008.00313.x. PMID 18097535.
- ↑ Nigam N, Prasad S, Shukla Y (2007). "Preventive effects of lupeol on DMBA induced DNA alkylation damage in mouse skin". Food Chem Toxicol. 45 (11): 2331–5. doi:10.1016/j.fct.2007.06.002. PMID 17637493.
- ↑ Saleem M, Afaq F, Adhami VM, Mukhtar H (2004). "Lupeol modulates NF-kappaB and PI3K/Akt pathways and inhibits skin cancer in CD-1 mice". Oncogene. 23 (30): 5203–14. doi:10.1038/sj.onc.1207641. PMID 15122342.
- ↑ Bani S, Kaul A, Khan B, Ahmad SF, Suri KA, Gupta BD, Satti NK, Qazi GN (2006). "Suppression of T lymphocyte activity by lupeol isolated from Crataeva religious". Phytotherapy Research. 20: 279–287. doi:10.1002/ptr.1852.
