Mebutamate

Mebutamate
Clinical data
ATC code N05BC04 (WHO)
Legal status
Legal status
Identifiers
CAS Number 64-55-1 N
PubChem (CID) 6151
ChemSpider 5919 N
UNII 5H8F175RER YesY
KEGG D01807 YesY
ChEMBL CHEMBL1200922 N
ECHA InfoCard 100.000.534
Chemical and physical data
Formula C10H20N2O4
Molar mass 232.277 g/mol
3D model (Jmol) Interactive image
 NYesY (what is this?)  (verify)

Mebutamate (Capla, Dormate) is an anxiolytic and sedative drug with antihypertensive effects of the carbamate class.[1][2] It has effects comparable to those of barbiturates such as secobarbital, but is only around 1/3 the potency of secobarbital as a sedative. Side effects include dizziness and headaches.[3]

Mebutamate is one of many GABAergic drugs which act via allosteric agonism of the GABAA receptor at the β-subreceptor similar to barbiturates. In contrast, benzodiazepines act at the α-subreceptor. As such, carbamates and barbiturates, possess analgesic properties which the benzodiazepine class of drugs do not.

Other carbamates with the same mechanism of action and pharmacological properties include meprobamate, carisoprodol, felbamate, and tybamate).

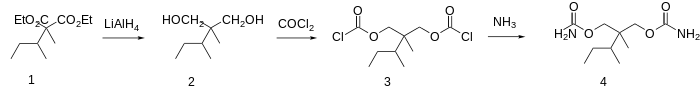
Synthesis

Mebutamate synthesis: Berger, Ludwig, U.S. Patent 2,878,280 (1959 to Carter Prod.).

Structural analogs

References

  1. Index Nominum 2000: International Drug Directory. Taylor & Francis. January 2000. p. 634. ISBN 978-3-88763-075-1.
  2. The Merck Index (14 ed.). Merck Publishers. 5813. ISBN 978-0-911910-00-1.
  3. Tetreault, L.; Richer, P.; Bordeleau, J. M. (1967). "Hypnotic properties of mebutamate: A comparative study of mebutamate, secobarbital and placebo in psychiatric patients". Canadian Medical Association journal. 97 (8): 395–398. PMC 1923261Freely accessible. PMID 6037393.


This article is issued from Wikipedia - version of the 10/12/2016. The text is available under the Creative Commons Attribution/Share Alike but additional terms may apply for the media files.