Nitrogen inversion
![]() Nitrogen inversion in ammonia | ||
![]() |
⇌ | ![]() |
| Inversion of an amine. The C3 axis of the amine is presented as horizontal, and the pair of dots represent the lone pair of the nitrogen atom collinear with that axis. A mirror plane can be imagined to relate the two amine molecules on either side of the arrows. If the three R groups attached to the nitrogen are all unique, then the amine is chiral; whether it can be isolated depends on the free energy required for the molecule's inversion. | ||
In chemistry, nitrogen inversion is a fluxional process in compounds with a nitrogen atom that has a pyramidal geometry, such as ammonia (NH3), whereby the molecule "turns inside out". It is a rapid oscillation of the nitrogen atom from one side of the plane formed by the substituents to the other side,[1] passing through a planar transition state.[2] For a compound that would otherwise be chiral due to a nitrogen stereocenter, nitrogen inversion allows its enantiomers to rapidly interconvert, making chiral resolution impossible unless the inversion process is prevented by steric or electronic effects.[3] The concept of nitrogen inversion can be extended to other compounds that contain atoms of other elements with trigonal pyramidal geometry, such as carbanions, phosphines, arsines, stibines and sulfoxides, in which case it is called pyramidal inversion.[4]
Energy barrier considerations
The ammonia interconversion is rapid at room temperature. Two factors contribute to the rapidity of the inversion: a low energy barrier (24.2 kJ/mol) and a narrow width of the barrier itself, which allows for frequent quantum tunnelling (see below). In contrast, phosphine (PH3) inverts very slowly at room temperature (energy barrier: 132 kJ/mol).[5]
Consequences for optical isomerism
Amines of the type RR′R"N and RR′NH are chiral, but they typically cannot be obtained as individual enantiomers because of the rapidity of the nitrogen inversion. The situation is very different for ammonium salts, such as RR′R″HN+ and RR′R″R‴N+, and amine oxides, such as RR′HNO and RR′R″NO, which are optically stable. The barrier to pyramidal inversion in these compounds is much higher because they have four covalent bonds rather than any nonbonded electron pairs, so their enantiomers do not rapidly interconvert and are therefore separable. Unlike amines, the corresponding chiral phosphines (RR′R″P and RR′PH), sulfonium salts (RR′R″S+), and sulfoxides (RR′SO) are also optically stable even though they have a non-bonded pair.
Quantum effects
Ammonia exhibits a quantum tunnelling due to a narrow tunneling barrier,[6] and not due to thermal excitation. Superposition of two states leads to energy level splitting, which is used in ammonia masers.
Conditions
For nitrogen inversion to occur:
- the nitrogen atom must have one lone pair, and
- both isomers must not be under significant strain.
Examples
The inversion of ammonia was first detected by microwave spectroscopy in 1934.[7]
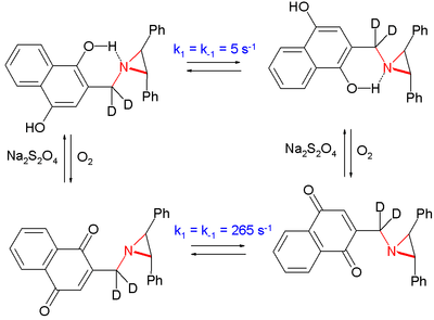
In one study the inversion in an aziridine was slowed by a factor of 50 by placing the nitrogen atom in the vicinity of a phenolic alcohol group compared to the oxidized hydroquinone [8]

The system interconverts by oxidation by oxygen and reduction by sodium dithionite.
References
- ↑ Greenwood, Norman N.; Earnshaw, Alan (1997). Chemistry of the Elements (2nd ed.). Butterworth-Heinemann. p. 423. ISBN 0-08-037941-9.
- ↑ J. M. Lehn (1970). "Nitrogen Inversion: Experiment and Theory". Fortschr. Chem. Forsch. 15: 311–377. doi:10.1007/BFb0050820.
- ↑ Smith, Michael B.; March, Jerry (2007), Advanced Organic Chemistry: Reactions, Mechanisms, and Structure (6th ed.), New York: Wiley-Interscience, pp. 142–145, ISBN 0-471-72091-7
- ↑ Arvi Rauk, Leland C. Allen, Kurt Mislow (1970). "Pyramidal Inversion". Angew. Chem. Int. Ed. 9: 400–414. doi:10.1002/anie.197004001.
- ↑ Kölmel, C.; Ochsenfeld, C.; Ahlrichs, R. (1991). "An ab initio investigation of structure and inversion barrier of triisopropylamine and related amines and phosphines". Theor. Chim. Acta. 82 (3-4): 271–284. doi:10.1007/BF01113258.
- ↑ Feynman, Richard P.; Robert Leighton; Matthew Sands (1965). "The Hamiltonian matrix". The Feynman Lectures on Physics. Volume III. Massachusetts, USA: Addison-Wesley. ISBN 0-201-02118-8.
- ↑ Cleeton, C.E.; Williams, N.H. (1934). "Electromagnetic waves of 1.1 cm wave-length and the absorption spectrum of ammonia". Physical Review. 45 (4): 234–237. Bibcode:1934PhRv...45..234C. doi:10.1103/PhysRev.45.234.
- ↑ Control of Pyramidal Inversion Rates by Redox Switching Mark W. Davies, Michael Shipman, James H. R. Tucker, and Tiffany R. Walsh J. Am. Chem. Soc.; 2006; 128(44) pp. 14260–14261; (Communication) doi:10.1021/ja065325f


