One woodland terminal model

The ITU terrestrial model for one terminal in woodland is a radio propagation model belonging to the class of foliage models. This model is a successor of the early ITU model.

Applicable to/under conditions

Applicable to the scenario where one terminal of a link is inside foliage and the other end is free.

Coverage

Frequency: below 5 GHz
Depth of foliage: unspecified

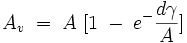
Mathematical formulation

The mathematical formulation of the model is:

A_v\;=\;A\;[1\;-\;e^-{\frac{d \gamma}{A}}]

Where,

Av = Attenuation due to vegetation. Unit: decibel (dB)

A = Maximum attenuation for one terminal caused by a certain foliage. Unit: decibel (dB)

d = Depth of Foliage along the path. Unit: Meter(m)

\gamma\; = Specific attenuation for short vegetations. Unit: decibel/meter (dB/m)

Points to note

The value of \gamma is dependent on frequency and is an empirical constant.

The model assumes that exactly one of the terminals is located inside some forest or plantation and the term depth applies to the distance from the terminal inside the plantation to the end of plantation along the link.

Further reading

See also

This article is issued from Wikipedia - version of the 10/28/2014. The text is available under the Creative Commons Attribution/Share Alike but additional terms may apply for the media files.