Plicatol C

Plicatol C
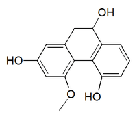
Chemical structure of plicatol C
Names
Other names
2,5,9-Trihydroxy-4-methoxy-9,10-dihydrophenanthrene
Identifiers
278608-08-5
3D model (Jmol) Interactive image
Properties
C15H14O4
Molar mass 258.27 g·mol−1
Except where otherwise noted, data are given for materials in their standard state (at 25 °C [77 °F], 100 kPa).
Infobox references

Plicatol C is one of the three phenanthrenes that can be isolated from the stems of the orchid Flickingeria fimbriata.[1]

See also

References

  1. Phenanthrenes from Dendrobium plicatile. Chie Honda and Masae Yamaki, Phytochemistry, April 2000, Volume 53, Issue 8, Pages 987–990, doi:10.1016/S0031-9422(99)00497-5
This article is issued from Wikipedia - version of the 11/2/2015. The text is available under the Creative Commons Attribution/Share Alike but additional terms may apply for the media files.