Propyl group

In organic chemistry, propyl is a three-carbon alkyl substituent with chemical formula –CH
2CH
2CH
3 for the linear form. This substituent form is obtained by removing one hydrogen atom attached to the terminal carbon of propane. [1] A propyl substituent is often represented in organic chemistry with the symbol Pr (not to be confused with the element praseodymium).
An isomeric form of propyl is obtained by moving the point of attachment from a terminal carbon atom to the central carbon atom, named 1-methylethyl or isopropyl. To maintain four substituents on each carbon atom, one hydrogen atom has to be moved from the middle carbon atom to the carbon atom which served as attachment point in the n-propyl variant, written as –CH(CH
3)2.[2]
Linear propyl is sometimes termed normal and hence written with a prefix n- (i.e., n-propyl), as the absence of the prefix n- does not indicate which attachment point is chosen, i.e. absence of prefix does not automatically exclude the possibility of it being the branched version (i.e. i-propyl or isopropyl). [3]
In addition there is a third, cyclic, form called cyclopropyl, or c-propyl. It is not isomeric with the other two forms, having the chemical formula -C3H5.
Examples

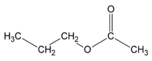
This is n-propyl ethanoate, an ester. The n-propyl group is attached to the molecule after the middle oxygen.