Pummerer rearrangement

Pummerer rearrangement
Named after Rudolph Pummerer
Reaction type Rearrangement reaction
Identifiers
RSC ontology ID RXNO:0000220

The Pummerer rearrangement is an organic reaction whereby an alkyl sulfoxide rearranges to an α-acyloxythioether in the presence of acetic anhydride.[1][2] In this reaction, sulfur is reduced while adjacent carbon is oxidized.

Several reviews have been published.[3][4][5]

The usage of α-acyl sulfoxides and Lewis acids, such as TiCl4 and SnCl4, allow the reaction to proceed at lower temperatures (0 °C).[6]

Common activators besides acetic anhydride are trifluoroacetic anhydride and trifluoromethanesulfonic anhydride.[7] Common nucleophiles besides acetates are arenes, alkenes, amides, and phenols.

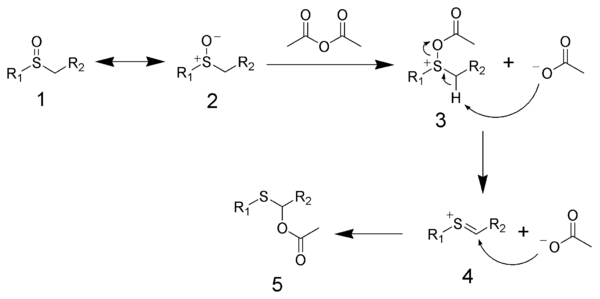
Mechanism

The mechanism of the Pummerer rearrangement begins with the acylation of the sulfoxide (1 and 2). Compound 3 undergoes elimination to produce the thionium ion 4. Acetate adds to the sulfonium ion to give the final product 5.

Other anhydrides and acyl halides can give similar products. Inorganic acids can also give this reaction.This product can be converted to aldehyde or ketone by hydrolysis.[8]

Variations

The thionium ion can be trapped by various intramolecular and intermolecular nucleophiles to form carbon–carbon bonds and carbon–heteroatom bonds. For example, thionyl chloride can be used to generate and trap the sulfonium ion using chloride as the nucleophile:[9]

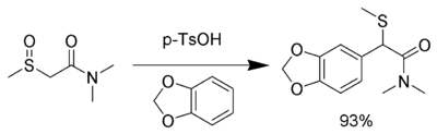
Even neutral nucleophiles can be used due to the highly electrophilic nature of the sulfonium. for example, the electron-rich aromatic ring of veratrole:[10]

It is possible to perform the rearrangement using selenium in the place of sulfur.[11]

Pummerer fragmentation

When a substituent on the α position can form a very stable carbocation, this group rather than the α-hydrogen atom will eliminate in the intermediate step. This variation is called a Pummerer fragmentation.[12] This reaction type is demonstrated below with a set of sulfoxides and trifluoroacetic anhydride (TFAA):

The organic group "R2" shown in the diagram above on the bottom right is the methyl violet carbocation, whose pKR+ of 9.4 is not sufficient to out-compete loss of H+ and therefore a classical Pummerer rearrangement occurs. The reaction on the left is a fragmentation because the leaving group with pKR+ = 23.7 is particularly stable.

See also

References

  1. Pummerer, Rudolph (1909). "Über Phenyl-sulfoxyessigsäure". Chemische Berichte. 42 (2): 2282–2291. doi:10.1002/cber.190904202126.
  2. Pummerer, Rudolph (1910). "Über Phenylsulfoxy-essigsäure. (II.)". Chemische Berichte. 43 (2): 1401–1412. doi:10.1002/cber.19100430241.
  3. de Lucchi, Ottorino; Miotti, Umberto; Modena, Giorgio (1991). "The Pummerer Reaction of Sulfinyl Compounds". Organic Reactions. 40: 157–184. doi:10.1002/0471264180.or040.03. ISBN 0471264180.
  4. Padwa, Albert; Gunn, David E., Jr.; Osterhout, Martin H. (1997). "Application of the Pummerer Reaction Toward the Synthesis of Complex Carbocycles and Heterocycles". Synthesis. 1997 (12): 1353–1377. doi:10.1055/s-1997-1384.
  5. Padwa, Albert; Bur, Scott K.; Danca, Diana M.; Ginn, John D.; Lynch, Stephen M. (2002). "Linked Pummerer-Mannich Ion Cyclizations for Heterocyclic Chemistry". Synlett. 2002 (6): 851–862. doi:10.1055/s-2002-31891.
  6. Stamos, Ioannis K. (1986). "Arylation of α-phosphoryl sulfides via their pummerer rearrangement intermediates generated from the corresponding sulfoxides". Tetrahedron Letters. 27 (51): 6261–6262. doi:10.1016/S0040-4039(00)85447-7.
  7. Smith, Laura H. S.; Coote, Susannah C.; Sneddon, Helen F.; Procter, David J. (2010). "Beyond the Pummerer Reaction: Recent Developments in Thionium Ion Chemistry". Angewandte Chemie International Edition. 49 (34): 5832–44. doi:10.1002/anie.201000517. PMID 20583014.
  8. Meffre, Patrick; Durand, Philippe; Le Goffic, François (1999). "Methyl (S)-2-phthalimido-4-methylthiobutanoate". Organic Syntheses. 76: 123. doi:10.15227/orgsyn.076.0123.
  9. Kosugi, Hiroshi; Watanabe, Yasuyuki; Uda, Hisashi (1989). "Lewis Acid-Mediated Carbon-Carbon bond forming reaction using the Pummerer Rearrangement Products from Chiral beta-Hydroxy Sulfoxides". Chemistry Letters. 18 (10): 1865–1868. doi:10.1246/cl.1989.1865.
  10. Ishibashi, Hiroyuki; Miki, Yumiko; Ikeda, Yoshiaki; Kiriyama, Akiko; Ikeda, Masazumi (1989). "Synthesis of α-(Methylthio)arylacetamides and Their Conversion into Some Biologically Active Arylethylamines". Biological & Pharmaceutical Bulletin. 37: 3396–3398. doi:10.1248/cpb.37.3396.
  11. Gilmour, Ryan; Prior, Timothy J.; Burton, Jonathan W.; Holmes, Andrew B. (2007). "An organocatalytic approach to the core of eunicellin". Chemical Communications (38): 3954. doi:10.1039/B709322E.
  12. Laleu, Benoît; Santarém Machado, Marco; Lacour, Jérôme (25 May 2006). "Pummerer fragmentation vs. Pummerer rearrangement: a mechanistic analysis". Chemical Communications (26): 2786–2788. doi:10.1039/b605187a.
This article is issued from Wikipedia - version of the 10/11/2016. The text is available under the Creative Commons Attribution/Share Alike but additional terms may apply for the media files.