Smooth coarea formula
In Riemannian geometry, the smooth coarea formulas relate integrals over the domain of certain mappings with integrals over their codomains.
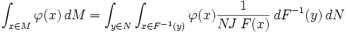
Let
be smooth Riemannian manifolds of respective dimensions
. Let
be a smooth surjection such that the pushforward (differential) of
is surjective almost everywhere. Let
a measurable function. Then, the following two equalities hold:
where
is the normal Jacobian of
, i.e. the determinant of the derivative restricted to the orthogonal complement of its kernel.
Note that from Sard's lemma almost every point
is a regular point of
and hence the set
is a Riemannian submanifold of
, so the integrals in the right-hand side of the formulas above make sense.
References
- Chavel, Isaac (2006) Riemannian Geometry. A Modern Introduction. Second Edition.
This article is issued from Wikipedia - version of the 10/8/2015. The text is available under the Creative Commons Attribution/Share Alike but additional terms may apply for the media files.

