State variable filter
A state variable filter is a type of active filter. It consists of one or more integrators, connected in some feedback configuration. Any LTI system can be described as a state-space model, with n state variables for an nth-order system. A state variable filter realizes the state-space model directly. The instantaneous output voltage of one of the integrators corresponds to one of the state-space model's state variables.
Kerwin-Huelsman-Newcomb (KHN) Biquad Filter Example
The example given below can produce simultaneous lowpass, highpass and bandpass outputs from a single input. This is a second-order (biquad) filter. Its derivation comes from rearranging a high-pass filter's transfer function, which is the ratio of two quadratic functions. The rearrangement reveals that one signal is the sum of integrated copies of another. That is, the rearrangement reveals a state variable filter structure. By using different states as outputs, different kinds of filters can be produced. In more general state variable filter examples, additional filter orders are possible with more integrators (i.e., more states).

The signal input is marked Vin; the LP, HP and BP outputs give the lowpass, highpass and bandpass filtered signals respectively.
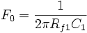
For simplicity, we set:



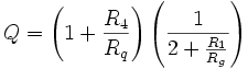
Then:


The pass-band gain for the LP and HP outputs is given by:

It can be seen that the frequency of operation and the Q factor can be varied independently. This and the ability to switch between different filter responses make the state-variable filter widely used in analogue synthesizers.
Values for a resonance frequency of 1 kHz are Rf1=Rf2=10k, C1=C2=15nF and R1=R2=10k
See also
References
- Texas Instruments' UAF42 Universal Active Filter datasheet
- Analog Devices Interactive Design Tools