Stilbene photocyclization

Stilbene photocyclization is the coupling of two aromatic carbons in stilbenes upon ultraviolet irradiation. The reaction can be used to form polycyclic aromatic hydrocarbons and heteroaromatics.[1]

Under UV irradiation, stilbene and its derivatives undergo intramolecular cyclization to form dihydrophenanthrenes. In the presence of an oxidant, the dihydrophenanthrene aromatize to give polycyclic aromatics result. Typically, the dihydrophenanthrenes themselves are relatively unstable, and revert to cis-stilbenes in the absence of a hydrogen-trapping agent. Suitably substituted stilbenes may undergo irreversible, rearomatizing elimination or [1,n]-shift processes in the absence of an oxidant. Aryl enynes,[2] heteroatomic stilbene derivatives (e.g. amides[3]), and substrates containing a single heteroatom in place of the stilbene double bond[4] also undergo the reaction.

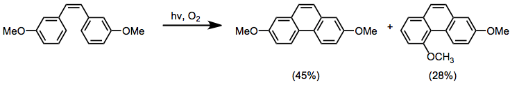
(1)

Mechanism and Stereochemistry

Oxidative conditions

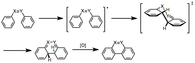
Regardless of the presence or absence of an oxidant, the first step of the reaction is excitation and formation of a dihydrophenanthrene intermediate. The excited stilbene may undergo competitive but reversible cis-trans isomerization; thus, although only cis-stilbenes undergo the cyclization step per se, trans-stilbenes will isomerize in situ and cyclize.[1] Orbital symmetry considerations dictate that the relative configuration at the newly bound centers must be trans[5] After cyclization, oxidation of the dihydrophenanthrene intermediate to phenanthrene occurs. Oxygen and iodine are the most commonly employed oxidants.

(2)

Non-oxidative conditions

For most substrates, in the absence of an oxidant, the dihydrophenanthrene intermediate may reversibly open to the corresponding cis-stilbene. However, suitably substituted stilbenes cyclize irreversibly if an aromatizing elimination or hydrogen shift process can take place. Examples of these transformations are provided below.[6][7][8]

(3)

Scope and limitations

Photocyclization can be carried out with ortho-, meta-, and para-substituted stilbene substrates. ortho-Substituted substrates generally give 1-substituted phenanthrenes, unless the substituent is a good leaving group, in which case elimination to form unsubstituted phenanthrene occurs.[9] meta- Substituted substrates give mixtures of 2- and 4-substituted products.

(4)

Substitution of the exocyclic double bond is well tolerated. Polycyclic aromatic compounds can be synthesized using substrates containing multiple aromatic rings.[7]

(5)

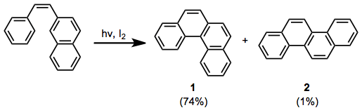
Stilbene derivatives containing fused aromatic systems may cyclize using either of two nonequivalent ortho carbons. Which carbon reacts depends on both steric and electronic factors. Electronically, the dihydrophenanthrene intermediate exhibiting greater aromatic stabilization is preferred. For instance, in 1-naphthyl-2-phenylethylene, electronic factors favor the formation of 1 over 2 in a ratio of 98.5:1.5.[10]

(6)

ortho-Terphenyl substrates cyclize to the corresponding triphenylenes in the presence of an oxidant, such as iodine. Oxygen is unsatisfactory because ring-opening to highly stabilized terphenyl is faster than oxidation when oxygen is used.[11]

(7)

Amides may cyclize to form lactams. Esters, which exist primarily in the trans conformation about the C-O single bond, do not undergo this process efficiently.[12]

(8)

Photocyclization can also form five-membered rings. In the vinyl naphthalene series, both oxidative[8] and non-oxidative processes are possible; although the latter requires a proton-transfer catalyst.[13]

(9)

Cyclization of arylvinyl- or diarylamines provides indolines and carbazoles, respectively. In one interesting example, the use of circularly polarized light provided 3 in slight enantiomeric excess.[14]

(10)

Synthetic applications

Photocyclization can be used as the final step of a sequence to generate a fused aromatic ring at a benzylic position. After benzylic bromization with N-bromosuccinimide, transformation to the phosphonium salt, and a Wittig reaction with anaromatic aldehyde, photocyclization fuses the aromatic rings. Iteration of this sequence results in helicenes.[15]

(11)

Other methods

Several other methods are available to synthesize the phenanthrene ring system; however, most of these are longer or less functional group tolerant than photocyclization. The Haworth and Wagner-Meerwein syntheses below are two examples.[16]

(12)

Like the Diels-Alder reaction, photocyclization forms six-membered rings; however, the Diels-Alder reaction is a [4+2] cycloaddition[17] while photocyclization is a formal 6π electrocyclization.

References

  1. 1 2 Mallory, F. B.; Mallory, C. W. Org. React. 1984, 30, 1. doi:10.1002/0471264180.or030.01
  2. Tinnemans, A. H. A.; Laarhoven, W. H. J. Chem. Soc., Perkin Trans. 1, 1976, 1115.
  3. Thyagarajan, B. S.; Kharasch, N.; Lewis, H. B.; Wolf, W. Chem. Commun., 1967, 614.
  4. Zeller, K.-P.; Petersen, H. Synthesis 1975, 532.
  5. Cuppen, J. H. M.; Laarhoven, W. H. J. Am. Chem. Soc. 1972, 94, 5914.
  6. Giles, R. G. F.; Sargent, M. V. J. Chem. Soc., Perkin Trans. 1, 1974, 2447.
  7. 1 2 Sargent, M. V.; Timmons, C. J. J. Chem. Soc. Suppl. 1, 1964, 5544.
  8. 1 2 Lapouyade, R.; Koussini, R.; Rayez, J.-C. J. Chem. Soc., Chem. Commun., 1975, 676.
  9. Cava, M. P.; Stern, P.; Wakisaka, K. Tetrahedron, 29, 2245 (1973).
  10. Mallory, F. B.; Mallory, C. W.; Halpern, E. J. First Middle Atlantic Regional Meeting of the American Chemical Society, February 3, 1966, Philadelphia, Pa., Abstracts, p. 134.
  11. Sato, T.; Shimada, S.; Hata, K. Bull. Chem. Soc. Jpn. 1971, 44, 2484.
  12. Ninomiya, I.; Naito, T.; Kiguchi, T. J. Chem. Soc., Perkin Trans. 1, 1973, 2257.
  13. Lapouyade, R.; Koussini, R.; Bouas-Laurent, H. J. Am. Chem. Soc. 1977, 99, 7374.
  14. Nicoud, J. F.; Kagan, H. B. Isr. J. Chem. 1977, 15, 78.
  15. Laarhoven, W. H.; Cuppen, Th. J. H. M.; Nivard, R. J. F. Tetrahedron 1974, 30, 3343.
  16. Floyd, A. J.; Dyke, S. F.; Ward, S. E. Chem. Rev. 1976, 76, 509.
  17. Ciganek, E. Org. React. 1984, 32, 1.
This article is issued from Wikipedia - version of the 12/15/2013. The text is available under the Creative Commons Attribution/Share Alike but additional terms may apply for the media files.