Trie

This article is about a tree data structure. For the French commune, see Trie-sur-Baïse.
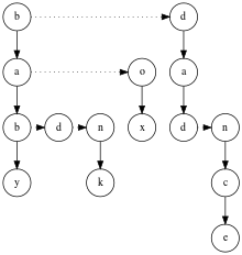
A trie for keys "A","to", "tea", "ted", "ten", "i", "in", and "inn".

In computer science, a trie, also called digital tree and sometimes radix tree or prefix tree (as they can be searched by prefixes), is a kind of search tree—an ordered tree data structure that is used to store a dynamic set or associative array where the keys are usually strings. Unlike a binary search tree, no node in the tree stores the key associated with that node; instead, its position in the tree defines the key with which it is associated. All the descendants of a node have a common prefix of the string associated with that node, and the root is associated with the empty string. Values are not necessarily associated with every node. Rather, values tend only to be associated with leaves, and with some inner nodes that correspond to keys of interest. For the space-optimized presentation of prefix tree, see compact prefix tree.

In the example shown, keys are listed in the nodes and values below them. Each complete English word has an arbitrary integer value associated with it. A trie can be seen as a tree-shaped deterministic finite automaton. Each finite language is generated by a trie automaton, and each trie can be compressed into a deterministic acyclic finite state automaton.

Though tries are usually keyed by character strings, they need not be. The same algorithms can be adapted to serve similar functions of ordered lists of any construct, e.g. permutations on a list of digits or shapes. In particular, a bitwise trie is keyed on the individual bits making up any fixed-length binary datum, such as an integer or memory address.

History and etymology

Trie were first described by Rene de la Briandais in 1959.[1][2]:336 The term trie was coined two years later by Edward Fredkin, who pronounces it /ˈtr/ (as "tree"), after the middle syllable of retrieval.[3][4] However, other authors pronounce it /ˈtr/ (as "try"), in an attempt to distinguish it verbally from "tree".[3][4][5]

Applications

As a replacement for other data structures

As discussed below, a trie has a number of advantages over binary search trees.[6] A trie can also be used to replace a hash table, over which it has the following advantages:

Tries do have some drawbacks as well:

Dictionary representation

A common application of a trie is storing a predictive text or autocomplete dictionary, such as found on a mobile telephone. Such applications take advantage of a trie's ability to quickly search for, insert, and delete entries; however, if storing dictionary words is all that is required (i.e., storage of information auxiliary to each word is not required), a minimal deterministic acyclic finite state automaton (DAFSA) would use less space than a trie. This is because a DAFSA can compress identical branches from the trie which correspond to the same suffixes (or parts) of different words being stored.

Tries are also well suited for implementing approximate matching algorithms,[8] including those used in spell checking and hyphenation[4] software.

Term indexing

A discrimination tree term index stores its information in a trie data structure.[9]

Algorithms

Lookup and membership are easily described. The listing below implements a recursive trie node as a Haskell data type. It stores an optional value and a list of children tries, indexed by the next character:

import Data.Map
 
data Trie a = Trie { value    :: Maybe a,
                     children :: Map Char (Trie a) }

We can look up a value in the trie as follows:

find :: String -> Trie a -> Maybe a
find []     t = value t
find (k:ks) t = do
  ct <- Data.Map.lookup k (children t)
  find ks ct

In an imperative style, and assuming an appropriate data type in place, we can describe the same algorithm in Python (here, specifically for testing membership). Note that children is a list of a node's children; and we say that a "terminal" node is one which contains a valid word.

def find(node, key):
    for char in key:
        if char in node.children:
            node = node.children[char]
        else:
            return None
    return node

Insertion proceeds by walking the trie according to the string to be inserted, then appending new nodes for the suffix of the string that is not contained in the trie. In imperative pseudocode,

algorithm insert(root : node, s : string, value : any):
    node = root
    i    = 0
    n    = length(s)

    while i < n:
        if node.child(s[i]) != nil:
            node = node.child(s[i])
            i = i + 1
        else:
            break

    (* append new nodes, if necessary *)
    while i < n:
        node.child(s[i]) = new node
        node = node.child(s[i])
        i = i + 1

    node.value = value

Sorting

Lexicographic sorting of a set of keys can be accomplished with a simple trie-based algorithm as follows:

This algorithm is a form of radix sort.

A trie forms the fundamental data structure of Burstsort, which (in 2007) was the fastest known string sorting algorithm.[10] However, now there are faster string sorting algorithms.[11]

A special kind of trie, called a suffix tree, can be used to index all suffixes in a text in order to carry out fast full text searches.

Implementation strategies

A trie implemented as a doubly chained tree: vertical arrows are child pointers, dashed horizontal arrows are next pointers. The set of strings stored in this trie is {baby, bad, bank, box, dad, dance}. The lists are sorted to allow traversal in lexicographic order.

There are several ways to represent tries, corresponding to different trade-offs between memory use and speed of the operations. The basic form is that of a linked set of nodes, where each node contains an array of child pointers, one for each symbol in the alphabet (so for the English alphabet, one would store 26 child pointers and for the alphabet of bytes, 256 pointers). This is simple but wasteful in terms of memory: using the alphabet of bytes (size 256) and four-byte pointers, each node requires a kilobyte of storage, and when there is little overlap in the strings' prefixes, the number of required nodes is roughly the combined length of the stored strings.[2]:341 Put another way, the nodes near the bottom of the tree tend to have few children and there are many of them, so the structure wastes space storing null pointers.[12]

The storage problem can be alleviated by an implementation technique called alphabet reduction, whereby the original strings are reinterpreted as longer strings over a smaller alphabet. E.g., a string of n bytes can alternatively be regarded as a string of 2n four-bit units and stored in a trie with sixteen pointers per node. Lookups need to visit twice as many nodes in the worst case, but the storage requirements go down by a factor of eight.[2]:347–352

An alternative implementation represents a node as a triple (symbol, child, next) and links the children of a node together as a singly linked list: child points to the node's first child, next to the parent node's next child.[12][13] The set of children can also be represented as a binary search tree; one instance of this idea is the ternary search tree developed by Bentley and Sedgewick.[2]:353

Another alternative in order to avoid the use of an array of 256 pointers (ASCII), as suggested before, is to store the alphabet array as a bitmap of 256 bits representing the ASCII alphabet, reducing dramatically the size of the nodes.[14]

Bitwise tries

Bitwise tries are much the same as a normal character-based trie except that individual bits are used to traverse what effectively becomes a form of binary tree. Generally, implementations use a special CPU instruction to very quickly find the first set bit in a fixed length key (e.g., GCC's __builtin_clz() intrinsic). This value is then used to index a 32- or 64-entry table which points to the first item in the bitwise trie with that number of leading zero bits. The search then proceeds by testing each subsequent bit in the key and choosing child[0] or child[1] appropriately until the item is found.

Although this process might sound slow, it is very cache-local and highly parallelizable due to the lack of register dependencies and therefore in fact has excellent performance on modern out-of-order execution CPUs. A red-black tree for example performs much better on paper, but is highly cache-unfriendly and causes multiple pipeline and TLB stalls on modern CPUs which makes that algorithm bound by memory latency rather than CPU speed. In comparison, a bitwise trie rarely accesses memory, and when it does, it does so only to read, thus avoiding SMP cache coherency overhead. Hence, it is increasingly becoming the algorithm of choice for code that performs many rapid insertions and deletions, such as memory allocators (e.g., recent versions of the famous Doug Lea's allocator (dlmalloc) and its descendents).

Compressing tries

Compressing the trie and merging the common branches can sometimes yield large performance gains. This works best under the following conditions:

For example, it may be used to represent sparse bitsets, i.e., subsets of a much larger, fixed enumerable set. In such a case, the trie is keyed by the bit element position within the full set. The key is created from the string of bits needed to encode the integral position of each element. Such tries have a very degenerate form with many missing branches. After detecting the repetition of common patterns or filling the unused gaps, the unique leaf nodes (bit strings) can be stored and compressed easily, reducing the overall size of the trie.

Such compression is also used in the implementation of the various fast lookup tables for retrieving Unicode character properties. These could include case-mapping tables (e.g. for the Greek letter pi, from ∏ to π), or lookup tables normalizing the combination of base and combining characters (like the a-umlaut in German, ä, or the dalet-patah-dagesh-ole in Biblical Hebrew, דַּ֫). For such applications, the representation is similar to transforming a very large, unidimensional, sparse table (e.g. Unicode code points) into a multidimensional matrix of their combinations, and then using the coordinates in the hyper-matrix as the string key of an uncompressed trie to represent the resulting character. The compression will then consist of detecting and merging the common columns within the hyper-matrix to compress the last dimension in the key. For example, to avoid storing the full, multibyte Unicode code point of each element forming a matrix column, the groupings of similar code points can be exploited. Each dimension of the hyper-matrix stores the start position of the next dimension, so that only the offset (typically a single byte) need be stored. The resulting vector is itself compressible when it is also sparse, so each dimension (associated to a layer level in the trie) can be compressed separately.

Some implementations do support such data compression within dynamic sparse tries and allow insertions and deletions in compressed tries. However, this usually has a significant cost when compressed segments need to be split or merged. Some tradeoff has to be made between data compression and update speed. A typical strategy is to limit the range of global lookups for comparing the common branches in the sparse trie.

The result of such compression may look similar to trying to transform the trie into a directed acyclic graph (DAG), because the reverse transform from a DAG to a trie is obvious and always possible. However, the shape of the DAG is determined by the form of the key chosen to index the nodes, in turn constraining the compression possible.

Another compression strategy is to "unravel" the data structure into a single byte array.[16] This approach eliminates the need for node pointers, substantially reducing the memory requirements. This in turn permits memory mapping and the use of virtual memory to efficiently load the data from disk.

One more approach is to "pack" the trie.[4] Liang describes a space-efficient implementation of a sparse packed trie applied to automatic hyphenation, in which the descendants of each node may be interleaved in memory.

External memory tries

Several trie variants are suitable for maintaining sets of strings in external memory, including suffix trees. A combination of trie and B-tree, called the B-trie has also been suggested for this task; compared to suffix trees, they are limited in the supported operations but also more compact, while performing update operations faster.[17]

See also

References

  1. de la Briandais, René (1959). File searching using variable length keys. Proc. Western J. Computer Conf. pp. 295–298. Cited by Brass.
  2. 1 2 3 4 Brass, Peter (2008). Advanced Data Structures. Cambridge University Press.
  3. 1 2 Black, Paul E. (2009-11-16). "trie". Dictionary of Algorithms and Data Structures. National Institute of Standards and Technology. Archived from the original on 2010-05-19.
  4. 1 2 3 4 Franklin Mark Liang (1983). Word Hy-phen-a-tion By Com-put-er (Doctor of Philosophy thesis). Stanford University. Archived from the original (PDF) on 2010-05-19. Retrieved 2010-03-28.
  5. Knuth, Donald (1997). "6.3: Digital Searching". The Art of Computer Programming Volume 3: Sorting and Searching (2nd ed.). Addison-Wesley. p. 492. ISBN 0-201-89685-0.
  6. Bentley, Jon; Sedgewick, Robert (1998-04-01). "Ternary Search Trees". Dr. Dobb's Journal. Dr Dobb's. Archived from the original on 2008-06-23.
  7. Edward Fredkin (1960). "Trie Memory". Communications of the ACM. 3 (9): 490–499. doi:10.1145/367390.367400.
  8. Aho, Alfred V.; Corasick, Margaret J. (Jun 1975). "Efficient String Matching: An Aid to Bibliographic Search" (PDF). Communications of the ACM. 18 (6): 333–340. doi:10.1145/360825.360855.
  9. John W. Wheeler; Guarionex Jordan. "An Empirical Study of Term Indexing in the Darwin Implementation of the Model Evolution Calculus". 2004. p. 5.
  10. "Cache-Efficient String Sorting Using Copying" (PDF). Retrieved 2008-11-15.
  11. "Engineering Radix Sort for Strings." (PDF). Retrieved 2013-03-11.
  12. 1 2 Allison, Lloyd. "Tries". Retrieved 18 February 2014.
  13. Sahni, Sartaj. "Tries". Data Structures, Algorithms, & Applications in Java. University of Florida. Retrieved 18 February 2014.
  14. Bellekens, Xavier (2014). A Highly-Efficient Memory-Compression Scheme for GPU-Accelerated Intrusion Detection Systems. Glasgow, Scotland, UK: ACM. pp. 302:302––302:309. ISBN 978-1-4503-3033-6. Retrieved 21 October 2015.
  15. Jan Daciuk; Stoyan Mihov; Bruce W. Watson; Richard E. Watson (2000). "Incremental Construction of Minimal Acyclic Finite-State Automata". Computational Linguistics. Association for Computational Linguistics. 26: 3. doi:10.1162/089120100561601. Archived from the original on 2006-03-13. Retrieved 2009-05-28. This paper presents a method for direct building of minimal acyclic finite states automaton which recognizes a given finite list of words in lexicographical order. Our approach is to construct a minimal automaton in a single phase by adding new strings one by one and minimizing the resulting automaton on-the-fly
  16. Ulrich Germann; Eric Joanis; Samuel Larkin (2009). "Tightly packed tries: how to fit large models into memory, and make them load fast, too" (PDF). ACL Workshops: Proceedings of the Workshop on Software Engineering, Testing, and Quality Assurance for Natural Language Processing. Association for Computational Linguistics. pp. 31–39. We present Tightly Packed Tries (TPTs), a compact implementation of read-only, compressed trie structures with fast on-demand paging and short load times. We demonstrate the benefits of TPTs for storing n-gram back-off language models and phrase tables for statistical machine translation. Encoded as TPTs, these databases require less space than flat text file representations of the same data compressed with the gzip utility. At the same time, they can be mapped into memory quickly and be searched directly in time linear in the length of the key, without the need to decompress the entire file. The overhead for local decompression during search is marginal.
  17. Askitis, Nikolas; Zobel, Justin (2008). "B-tries for Disk-based String Management" (PDF). VLDB Journal: 1–26. ISSN 1066-8888.
Wikimedia Commons has media related to Trie.
Look up trie in Wiktionary, the free dictionary.
This article is issued from Wikipedia - version of the 11/25/2016. The text is available under the Creative Commons Attribution/Share Alike but additional terms may apply for the media files.