Binary decision diagram

In computer science, a binary decision diagram (BDD) or branching program is a data structure that is used to represent a Boolean function. On a more abstract level, BDDs can be considered as a compressed representation of sets or relations. Unlike other compressed representations, operations are performed directly on the compressed representation, i.e. without decompression. Other data structures used to represent a Boolean function include negation normal form (NNF), and propositional directed acyclic graph (PDAG).

Definition

A Boolean function can be represented as a rooted, directed, acyclic graph, which consists of several decision nodes and terminal nodes. There are two types of terminal nodes called 0-terminal and 1-terminal. Each decision node is labeled by Boolean variable and has two child nodes called low child and high child. The edge from node to a low (or high) child represents an assignment of to 0 (resp. 1). Such a BDD is called 'ordered' if different variables appear in the same order on all paths from the root. A BDD is said to be 'reduced' if the following two rules have been applied to its graph:

In popular usage, the term BDD almost always refers to Reduced Ordered Binary Decision Diagram (ROBDD in the literature, used when the ordering and reduction aspects need to be emphasized). The advantage of an ROBDD is that it is canonical (unique) for a particular function and variable order.[1] This property makes it useful in functional equivalence checking and other operations like functional technology mapping.

A path from the root node to the 1-terminal represents a (possibly partial) variable assignment for which the represented Boolean function is true. As the path descends to a low (or high) child from a node, then that node's variable is assigned to 0 (resp. 1).

Example

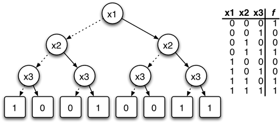
The left figure below shows a binary decision tree (the reduction rules are not applied), and a truth table, each representing the function f (x1, x2, x3). In the tree on the left, the value of the function can be determined for a given variable assignment by following a path down the graph to a terminal. In the figures below, dotted lines represent edges to a low child, while solid lines represent edges to a high child. Therefore, to find (x1=0, x2=1, x3=1), begin at x1, traverse down the dotted line to x2 (since x1 has an assignment to 0), then down two solid lines (since x2 and x3 each have an assignment to one). This leads to the terminal 1, which is the value of f (x1=0, x2=1, x3=1).

The binary decision tree of the left figure can be transformed into a binary decision diagram by maximally reducing it according to the two reduction rules. The resulting BDD is shown in the right figure.

Binary decision tree and truth table for the function
BDD for the function f

History

The basic idea from which the data structure was created is the Shannon expansion. A switching function is split into two sub-functions (cofactors) by assigning one variable (cf. if-then-else normal form). If such a sub-function is considered as a sub-tree, it can be represented by a binary decision tree. Binary decision diagrams (BDD) were introduced by Lee,[2] and further studied and made known by Akers[3] and Boute.[4]

The full potential for efficient algorithms based on the data structure was investigated by Randal Bryant at Carnegie Mellon University: his key extensions were to use a fixed variable ordering (for canonical representation) and shared sub-graphs (for compression). Applying these two concepts results in an efficient data structure and algorithms for the representation of sets and relations.[5][6] By extending the sharing to several BDDs, i.e. one sub-graph is used by several BDDs, the data structure Shared Reduced Ordered Binary Decision Diagram is defined.[7] The notion of a BDD is now generally used to refer to that particular data structure.

In his video lecture Fun With Binary Decision Diagrams (BDDs),[8] Donald Knuth calls BDDs "one of the only really fundamental data structures that came out in the last twenty-five years" and mentions that Bryant's 1986 paper was for some time one of the most-cited papers in computer science.

Adnan Darwiche and his collaborators have shown that BDDs are one of several normal forms for Boolean functions, each induced by a different combination of requirements. Another important normal form identified by Darwiche is Decomposable Negation Normal Form or DNNF.

Applications

BDDs are extensively used in CAD software to synthesize circuits (logic synthesis) and in formal verification. There are several lesser known applications of BDD, including fault tree analysis, Bayesian reasoning, product configuration, and private information retrieval.[9] [10]

Every arbitrary BDD (even if it is not reduced or ordered) can be directly implemented in hardware by replacing each node with a 2 to 1 multiplexer; each multiplexer can be directly implemented by a 4-LUT in a FPGA. It is not so simple to convert from an arbitrary network of logic gates to a BDD (unlike the and-inverter graph).

Variable ordering

The size of the BDD is determined both by the function being represented and the chosen ordering of the variables. There exist Boolean functions for which depending upon the ordering of the variables we would end up getting a graph whose number of nodes would be linear (in n) at the best and exponential at the worst case (e.g., a ripple carry adder). Let us consider the Boolean function Using the variable ordering , the BDD needs 2n+1 nodes to represent the function. Using the ordering , the BDD consists of 2n + 2 nodes.

BDD for the function ƒ(x1, ..., x8) = x1x2 + x3x4 + x5x6 + x7x8 using bad variable ordering
Good variable ordering

It is of crucial importance to care about variable ordering when applying this data structure in practice. The problem of finding the best variable ordering is NP-hard.[11] For any constant c > 1 it is even NP-hard to compute a variable ordering resulting in an OBDD with a size that is at most c times larger than an optimal one.[12] However, there exist efficient heuristics to tackle the problem.[13]

There are functions for which the graph size is always exponential — independent of variable ordering. This holds e.g. for the multiplication function.[1] In fact, the function computing the middle bit of the product of two -bit numbers does not have an OBDD smaller than vertices.[14] (If the multiplication function had polynomial-size OBDDs, it would show that integer factorization is in P/poly, which is not known to be true.[15])

Researchers have suggested refinements on the BDD data structure giving way to a number of related graphs, such as BMD (binary moment diagrams), ZDD (zero-suppressed decision diagram), FDD (free binary decision diagrams), PDD (parity decision diagrams), and MTBDDs (multiple terminal BDDs).

Logical operations on BDDs

Many logical operations on BDDs can be implemented by polynomial-time graph manipulation algorithms:[16]:20

However, repeating these operations several times, for example forming the conjunction or disjunction of a set of BDDs, may in the worst case result in an exponentially big BDD. This is because any of the preceding operations for two BDDs may result in a BDD with a size proportional to the product of the BDDs' sizes, and consequently for several BDDs the size may be exponential. Also, since constructing the BDD of a Boolean function solves the NP-complete Boolean satisfiability problem and the co-NP-complete tautology problem, constructing the BDD can take exponential time in the size of the Boolean formula even when the resulting BDD is small.

See also

References

  1. 1 2 Graph-Based Algorithms for Boolean Function Manipulation, Randal E. Bryant, 1986
  2. C. Y. Lee. "Representation of Switching Circuits by Binary-Decision Programs". Bell System Technical Journal, 38:985–999, 1959.
  3. Sheldon B. Akers. Binary Decision Diagrams, IEEE Transactions on Computers, C-27(6):509–516, June 1978.
  4. Raymond T. Boute, "The Binary Decision Machine as a programmable controller". EUROMICRO Newsletter, Vol. 1(2):16–22, January 1976.
  5. Randal E. Bryant. "Graph-Based Algorithms for Boolean Function Manipulation". IEEE Transactions on Computers, C-35(8):677–691, 1986.
  6. R. E. Bryant, "Symbolic Boolean Manipulation with Ordered Binary Decision Diagrams", ACM Computing Surveys, Vol. 24, No. 3 (September, 1992), pp. 293–318.
  7. Karl S. Brace, Richard L. Rudell and Randal E. Bryant. "Efficient Implementation of a BDD Package". In Proceedings of the 27th ACM/IEEE Design Automation Conference (DAC 1990), pages 40–45. IEEE Computer Society Press, 1990.
  8. http://scpd.stanford.edu/knuth/index.jsp
  9. R.M. Jensen. "CLab: A C+ + library for fast backtrack-free interactive product configuration". Proceedings of the Tenth International Conference on Principles and Practice of Constraint Programming, 2004.
  10. H.L. Lipmaa. "First CPIR Protocol with Data-Dependent Computation". ICISC 2009.
  11. Beate Bollig, Ingo Wegener. Improving the Variable Ordering of OBDDs Is NP-Complete, IEEE Transactions on Computers, 45(9):993–1002, September 1996.
  12. Detlef Sieling. "The nonapproximability of OBDD minimization." Information and Computation 172, 103–138. 2002.
  13. Rice, Michael. "A Survey of Static Variable Ordering Heuristics for Efficient BDD/MDD Construction" (PDF).
  14. Philipp Woelfel. "Bounds on the OBDD-size of integer multiplication via universal hashing." Journal of Computer and System Sciences 71, pp. 520-534, 2005.
  15. Richard J. Lipton. "BDD's and Factoring". Gödel's Lost Letter and P=NP, 2009.
  16. Andersen, H. R. (1999). "An Introduction to Binary Decision Diagrams" (PDF). Lecture Notes. IT University of Copenhagen.

Further reading

External links

Wikimedia Commons has media related to Binary decision diagrams.
This article is issued from Wikipedia - version of the 11/2/2016. The text is available under the Creative Commons Attribution/Share Alike but additional terms may apply for the media files.