List of cocaine analogues
2′ (6′) = ortho, 3′ (5′) = meta & 4′ = para
This is a list of cocaine analogues. A cocaine analogue is a (usually) artificial construct of a novel chemical compound from (often the starting point of natural) cocaine's molecular structure, with the result product sufficiently similar to cocaine to display similarity in, but alteration to, its chemical function. Within the scope of analogous compounds created from the structure of cocaine, so named "cocaine analogues" retain 3β-benzoyloxy or similar functionality (the term specifically used usually distinguishes from phenyltropanes, but in the broad sense generally, as a category, includes them) on a tropane skeleton, as compared to other stimulants of the kind. Many of the semi-synthetic cocaine analogues proper which have been made & studied have consisted of among the nine following classes of compounds:[lower-alpha 1]
- stereoisomers of cocaine
- 3β-phenyl ring substituted analogues
- 2β-substituted analogues
- N-modified analogues of cocaine
- 3β-carbamoyl analogues
- 3β-alkyl-3-benzyl tropanes
- 6/7-substituted cocaines
- 6-alkyl-3-benzyl tropanes
- piperidine homologues of cocaine


Below: Alternate two-dimensional molecular diagram of cocaine; shown specifically as a protonated, NH+, hydrochloride, and disregarding 3D stereochemistry
However strict analogues of cocaine would also include such other potential combinations as phenacyltropanes & other carbon branched replacements not listed above. The term may also be loosely used to refer to drugs manufactured from cocaine or having their basis as a total synthesis of cocaine, but modified to alter their effect & QSAR. These include both intracellular sodium channel blocker anesthetics and stimulant dopamine reuptake inhibitor ligands (such as certain, namely tropane-bridged-excised, piperidines). Additionally, researchers have supported combinatorial approaches for taking the most promising analogues currently elucidated and mixing them to the end of discovering novel & efficacious compounds to optimize their utilization for differing distinct specified purposes.[lower-alpha 2]

Although the carbmethoxy is denoted in its function as a hydrogen bond in this depiction, it has been found that it is primarily eletrostatic factors which dominate binding within this space of the molecular surface area over the operative principle of hydrogen bonding.[lower-alpha 3]

Analogs sensu stricto
Cocaine Stereoisomers

| Stereoisomer | S. Singh's alphanumeric assignation |
IC50 (nM) [3H]WIN 3542 inhibition to rat striatal membranes Mean error standard ≤5% in all cases |
IUPAC nomenclature |
|---|---|---|---|
| R-cocaine (Erythroxyline) |
— | 102 | methyl(1R,2R,3S,5S)-3-(benzoyloxy)-8-methyl-8-azabicyclo[3.2.1]octane-2-carboxylate |
| R-pseudococaine (Delcaine, Depsococaine, Dextrocaine, Isococaine, Psicaine.[2]) |
172 | 15800 | methyl(1R,2S,3S,5S)-3-(benzoyloxy)-8-methyl-8-azabicyclo[3.2.1]octane-2-carboxylate |
| R-allococaine | 173 | 6160 | methyl(1R,2R,3R,5S)-3-(benzoyloxy)-8-methyl-8-azabicyclo[3.2.1]octane-2-carboxylate |
| R-allopseudococaine | 174 | 28500 | methyl(1R,2S,3R,5S)-3-(benzoyloxy)-8-methyl-8-azabicyclo[3.2.1]octane-2-carboxylate |
| S-cocaine | 175 | 15800 | methyl(1S,3R,4R,5R)-3-(benzoyl)oxy-8-methyl-8-azabicyclo[3.2.1]octane-4-carboxylate |
| S-pseudococaine | 176 | 22500 | methyl(1S,3R,4S,5R)-3-(benzoyl)oxy-8-methyl-8-azabicyclo[3.2.1]octane-4-carboxylate |
| S-allococaine | 177 | 9820 | methyl(1S,3S,4R,5R)-3-(benzoyl)oxy-8-methyl-8-azabicyclo[3.2.1]octane-4-carboxylate |
| S-allopseudococaine | 178 | 67700 | methyl(1S,3S,4S,5R)-3-(benzoyl)oxy-8-methyl-8-azabicyclo[3.2.1]octane-4-carboxylate |
Where the 2D diagrams given for the structural analogs below do not indicate stereochemistry, it should be assumed they share the conformation of R-cocaine, unless noted otherwise.
The natural isomerism of cocaine is unstable in several ways besides having a high degree of lability; for instance: the C2 carbmethoxy in its biosynthesis end-product maintains the axial position, which can undergo epimerization via saponification to obtain the former in an equatorial position.
The creation of the following analogues of cocaine have traditionally required a step which has utilized 2-CMT as an intermediate molecular product.
Benzoyl branch cleavage substitutions (excluding the exhaustive phenyl group)
| Salicylmethylecgonine[3] | Methylvanillylecgonine[4][5] |
| ![]() |
N.B. Fries rearrangement product of aspirin used to make salbutamol. It is relevant to the precursor here though because the migrated acetyl group can be the subject of a haloform reaction. A more direct route to vanillic acid though is just oxidation of the vanillin to a functionalized benzoic acid.
Arene benzene-ring 2′, 3′, 4′ (5′ & 6′) position (aryl) substitutions
para-substituted benzoylmethylecgonines


| Structure | S. Singh's alphanumeric assignation (name) |
4′=R | DAT
[3H]WIN 35428 |
5-HTT
[3H]Paroxetine |
NET
[3H]Nisoxetine |
Selectivity
5-HTT/DAT |
Selectivity
NET/DAT |
|---|---|---|---|---|---|---|---|
| (cocaine) | H | 249 ± 37 | 615 ± 120 | 2500 ± 70 | 2.5 | 10.0 | |
| non-benzoyloxy analogue comparative ligands non-tropane analogue comparative ligands | 11b (WIN 35428) (nisoxetine) (fluoxetine) | F — — | 24 ± 4 775 ± 20 5200 ± 1270 | 690 ± 14 762 ± 90 15 ± 3 | 258 ± 40 135 ± 21 963 ± 158 | 28.7 1.0 0.003 | 10.7 0.2 0.2 |
![]() | |||||||
| 183a | I | 2522 ± 4 | 1052 ± 23 | 18458 ± 1073 | 0.4 | 7.3 | |
| 183b | Ph | 486 ± 63 | - | - | - | - | |
| 183c | OAc | 144 ± 2 | - | - | - | - | |
| 183d | OH | 158 ± 8 | 3104 ± 148 | 601 ± 11 | 19.6 | 3.8 | |
| (4′-Fluorococaine)[6] | F | - | - | - | - | - | |
| (para-Isothiocyanatobenzoylecgonine methyl ester)[7] (p-Isococ) | NCS | - | - | - | - | - |
The MAT binding pocket analogous to the lipophilic place on cocaine-like compounds, inclusive of the benzene ring, is approximate to 9 Å in length. Which is only slightly larger than a phenyl ring by itself.[lower-alpha 6]
meta-substituted benzoylmethylecgonines

| Structure | S. Singh's alphanumeric assignation (name) |
3′=R | DAT
[3H]WIN 35428 |
5-HTT
[3H]Paroxetine |
NET
[3H]Nisoxetine |
Selectivity
5-HTT/DAT |
Selectivity
NET/DAT |
|---|---|---|---|---|---|---|---|
![]() | |||||||
| 184a | I | 325ɑ | - | - | - | - | |
| 184b | OH | 1183 ± 115 | 793 ± 33 | 3760 ± 589 | 0.7 | 3.2 | |
| 191 | OBn | - | - | - | - | - | |
| (m-Isococ) | NCS | - | - | - | - | - |
- ɑIC50 value for displacement of [3H]cocaine
ortho-substituted benzoylmethylecgonines

The hydroxylated 2′-OH analogue exhibited a tenfold increase in potency over cocaine.[lower-alpha 8]
| Structure | S. Singh's alphanumeric assignation (name) |
2′=R | DAT
[3H]WIN 35428 |
5-HTT
[3H]Paroxetine |
NET
[3H]Nisoxetine |
Selectivity
5-HTT/DAT |
Selectivity
NET/DAT |
|---|---|---|---|---|---|---|---|
![]() | |||||||
| 185a | I | 350ɑ | - | - | - | - | |
| 185b | F | 604 ± 67 | 1770 ± 309 | 1392 ± 173 | 2.9 | 2.3 | |
| 185c (2′-Acetoxycocaine)[8] | OAc | 70 ± 1 | 219 ± 20 | 72 ± 9 | 3.1 | 1.0 | |
| 185d (2′-Hydroxycocaine)[3] | OH | 25 ± 4 | 143 ± 21 | 48 ± 2 | 5.7 | 1.9 |
- ɑIC50 value for displacement of [3H]cocaine
manifold benzoyloxy phenyl-substitutions

Multi-substitutions (substitutions of substitutions; e.g. meta- & para-) or manifold ("many-fold") substituted analogues are analogues where more than one modification from the parent molecule takes place (having numerous intermediary constituents). These are created with often surprising structure–activity relationship results extrapolated therefrom. It is even a common case where two separate substitutions can each yield a weaker, lower affinity or even wholly non-efficacious compound respectively; but due to findings that oftentimes, when used together, such two mutually inferior changes being added in tandem to one analogue has the potential to make the resultant derivative display much greater efficacy, affinity, selectivity &/or strength than even the parent compound; which otherwise was compromised by either of those two alternations when made alone.
For an exposition & allusion to this mechanism observe that the opioid oxycodone, derived from codeine, is 1.5×—1.7× the analgesic potency of morphine (an opioid to which codeine is by comparison only 8%—12% as potent relatively, or 0.17th its strength in rats); yet oxycodone's intermediates in its synthesis from codeine are: ⅓ the potency of codeine (i.e. codeinone); 0.13 that of morphine (i.e. 14-hydroxycodeine) in rats and less in mice (to illustrate: the former even being less than the 0.17 of morphine that codeine is); with the final possible stand alone intermediate compound between codeine & oxycodone (i.e. 7,8-dihydrocodeine) being at most 150% to 200% that of codeine.[9]
| Structure | S. Singh's alphanumeric assignation (name) |
ortho-2′=R | meta-3′=R | para-4′=R | DAT
[3H]WIN 35428 |
5-HTT
[3H]Paroxetine |
NET
[3H]Nisoxetine |
Selectivity
5-HTT/DAT |
Selectivity
NET/DAT |
|---|---|---|---|---|---|---|---|---|---|
| 186 | HO | H | I | 215 ± 19 | 195 ± 10 | 1021 ± 75 | 0.9 | 4.7 |
| (Vanillylmethylecgonine)[4] | H | OCH3 | OH | - | - | - | - | - |
benzoyl phenyl-alterations

The naphthalene analogs allow for further numeric substitutions, including eight position peri substituted patterns. Many more alterations creating differing aromatic rings are possible.
| Structure | S. Singh's alphanumeric assignation (name) |
C=R | DAT
[3H]Cocaine (IC50) |
5-HTT
[3H]Paroxetine |
NET
[3H]Nisoxetine |
Selectivity
5-HTT/DAT |
Selectivity
NET/DAT |
|---|---|---|---|---|---|---|---|
| 187 | 1-naphthalene | 742 ± 48 | - | - | - | - |
| 188 | 2-naphthalene | 327 ± 63 | - | - | - | - |
Benzoyl branch modifications


A sulfur in place of the oxygen at the benzoyl ester single bond results in a lower electronegativity than that of cocaine.
C1-tropane-ring hydrogen substitutions

| Structure | Trivial name | R (C1 moiety) |
Ki (nM) @ DAT | Ki (nM) @ SERT | Ki (nM) @ NET | σ1 affinity Ki |
σ2 affinity Ki |
IC50 (μM) Na+ inhibition (Vertridine-Stimulated influx of sodium channels in Neocortical neurons)c |
LogP (XLogP3 algorithm, Cheng et al., 2007) |
|---|---|---|---|---|---|---|---|---|---|
| (—)-Cocaine | H | 326 ± 106 | 513 ± 143 | 358 ± 69 | 6.7 ± 0.3 μMd[14] | — | 6.99 ± 2.43 | 2.30 | |
| (—)-1-methyl-cocaine | Me | 163 ± 23 | 435 ± 77 | 488 ± 101 | "unappreciable" | 1.13 μM | 16.01 ± 1.90 | 2.67 |
| (—)-1-ethyl-cocaine | Et | 95.1 ± 17.0ɑ | 1,106 ± 112 | 598 ± 179 | — | — | — | 3.20 |
| (—)-1-propyl-cocaine | n-Pr | 871 ± 205ɑ | 2,949 ± 462b | 796 ± 195 | — | — | — | 3.56 |
| (—)-1-pentyl-cocaine | n-C5H11 | 1,272 ± 199b | 1,866 ± 400ɑ | 1,596 ± 21b | — | — | — | 4.64 |
| (—)-1-phenyl-cocaine | Ph | 32.3 ± 5.7b | 974 ± 308 | 1,980 ± 99b | 524 nM | 198 nM | 0.29 ± 0.07 | 3.77 |
- ɑ, P < 0.05 compard with (—)-cocaine (one-way ANOVA followed by Dunnett's multiple comparisons test)
- b, P < 0.01 compard with (—)-cocaine (one-way ANOVA followed by Dunnett's multiple comparisons test)
- cLidocaine was found to have a value of 39.6 ± 2.4, the weakest of all tested.
- dSame reference gives 25.9 ± 2.4 μM for (+)-cocaine and 13.6 ± 1.3 μM for norcocaine. Comparably it gives 12.7 ± 1.5 μM for the sigmaergic affinity of (+)-amphetamine. Another reference gives 1.7-6.7 μM for (—)-cocaine. All values Ki.[15]
- Using same data-set as above table, the following compounds were found to compare as:
- CFT @ DAT = 39.2 ± 7.1 (n = 5)
- fluoxetine @ SERT = 27.3 ± 9.2 (n = 3)
- desipramine @ NET = 2.74 ± 0.59 (n = 3)
Cocaine analogs substituting the C1-tropane ring position, requiring sulfinimine (N-sulfinyl-imine) chemistry (before the innovation of which were untenable) which bind unlike the typical configuration at DAT (open to out) as cocaine (with its terminal D79-Y156 distance of 6.03 Å), or in the atypical (closed to out) conformation of the benztropines (3.29 Å). Though closer to the open to out: (—)-1-methyl-cocaine = 4.40 Å & (—)-1-phenyl-cocaine = 4.89 Å, and exhibiting preferential interaction with outward facing DAT conformation, they appear to have the lack of behavioral stimulation as-like the closed to out type. Despite having non-stimulant behavior profiles, they still seem to have anti-depressant behavioral profiles.[13]
The C1 phenyl analog is ten times stronger than cocaine as a dopamine reuptake pump ligand, and twenty four times stronger as a local anesthetic (voltage-dependent Na+ channel blocker), whereas the C1 methyl analog is 2.3 times less potent as a local anesthetic.[13]
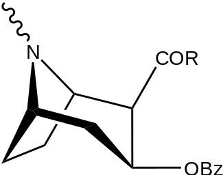
2β-substitutions (including transesterification metabolite substitution cocaethylene)

The consideration that large, bulky C2 substituents would alter the tropane by distorting the piperidine ring part of its skeleton sufficiently enough to impair its functionality, or that in said event such would hamper binding, in particular at the 8-aza end to ease steric strain going toward its place from the 2-position,[lower-alpha 12] appear to in many cases be unfounded.[lower-alpha 13] (examples shown in collapsed/bundled table of images below)

| Additional 2β-Cocaine analogue molecular structures | ||||||||||||||||
|---|---|---|---|---|---|---|---|---|---|---|---|---|---|---|---|---|
| ||||||||||||||||

Compound 197b displayed a 1,131-fold increased selectivity in affinity over the serotonin transporter, with only slight reductions in potency for the dopamine & norepinephrine transporters.[lower-alpha 14] Whereas 197c had a 469× increase at SERT, with greater affinity for DAT than cocaine & was approximately equipotent to NET.[lower-alpha 15] 197b was 137×, and 196c 27× less potent at binding to the serotonin transporter, but both had a NET / DAT ratio that made for a better dopaminergic than cocaine.[lower-alpha 16]



| Structure | S. Singh's alphanumeric assignation (name) |
R | DAT
[3H]WIN 35428 |
5-HTT
[3H]Paroxetine |
NET
[3H]Nisoxetine |
Selectivity
5-HTT/DAT |
Selectivity
NET/DAT |
|---|---|---|---|---|---|---|---|
![]() | |||||||
| (Cocaine) | Me | 89 ± 4.8 | 1045 ± 89 | 3298 ± 293 | 11.7 | 37.0 | |
| 196a (Cocaethylene) | Et | 195 ± 45 | 5801 ± 493 | 10000 ± 751 | 29.7 | 51.3 | |
| 196b | n-Pr | 196 ± 46 | 4517 ± 430 | 6124 ± 262 | 23.3 | 31.2 | |
| 196c | i-Pr | 219 ± 48 | 25224 ± 1498 | 30384 ± 1685 | 115 | 139 | |
| 196d | Ph | 112 ± 31 | 33666 ± 3330 | 31024 ± 1909 | 300 | 277 | |
| 196e | Bn | 257 ± 14 | 302 ± 23 | 20794 ± 950 | 1.2 | 80.9 | |
| 196f | β-phenethyl | 181 ± 10 | 615 ± 52 | 19944 ± 1026 | 3.4 | 110 | |
| 196g | γ-phenylpropyl | 147 ± 19 | 374 ± 15 | 4893 ± 344 | 2.5 | 33.3 | |
| 196h | cinnamyl | 371 ± 15 | 368 ± 6.3 | 68931 ± 3476 | 1.0 | 186 | |
| 196i | p-NO2-β-phenethyl | 601 ± 28 | - | - | - | - | |
| 196j | p-Cl-β-phenethyl | 271 ± 12 | - | - | - | - | |
| 196k | p-NH2-β-phenethyl | 72 ± 7 | - | - | - | - | |
| 196l | p-NCS-β-phenethyl | 196 ± 14 | - | - | - | - | |
| 196m | p-azido-β-phenethyl | 227 ± 19 | - | - | - | - | |
| 196n | (p-NHCOCH2Br)β-phenethyl | 61 ± 6 | - | - | - | - | |
| 196o | (p-NHCO(CH2)2CO2Et)β-phenethyl | 86 ± 4 | - | - | - | - | |
![]() | 197a | NH2 | 753 ± 41.3 | 13725 ± 1256 | 3981 ± 229 | 18.2 | 5.3 |
| 197b | -NMe2 | 127 ± 6.36 | 143713 ± 8854 | 7329 ± 158 | 1131 | 57.7 | |
| 197c | -N(OMe)Me | 60 ± 6.4 | 28162 ± 2565 | 3935 ± 266 | 469 | 65.6 | |
| 197d | -NHMe | 2424 ± 118 | 44798 ± 2105 | 4213 ± 206 | 18.5 | 1.7 | |
| 197e (Benzoylecgonine) | -OH | 195000 | - | - | - | - | |
![]() | 197f | HOCH2- | 561 ± 149 | - | - | - | - |
| 197g (Tropacocaine) | H | 5180 ± 1160 | - | - | - | - |
Bioisostere 2-position carbmethoxy-ester functional replacements

Benzoylecgonine, i.e. compound 197e, (differing from its cocaine parent only by de-methylation of the C2 carbmethoxy to that of a carboxy) has an extreme loss in potency (its approximate affinity being 195,000 nM) as displayed by in vitro methodologies for determining binding efficacy (wherein BBB penetration does not factor-in on the matter in the manner as in vivo studies) and is posited to be due possibly to zwitterion formation.[lower-alpha 18]

| Structure | S. Singh's alphanumeric assignation (name) |
R | [3H]Mazindol | [3H]DA | Selectivity
Uptake/Binding |
|---|---|---|---|---|---|
| (Cocaine) | (H) | 580 ± 70 | 570 ± 180 | 1.0 | |
![]() | |||||
| 198a | H | 520 ± 40 | 260 ± 70 | 0.5 | |
| 198b | CO2Et (5′-carboethoxy-) | 120 ± 10 | 290 ± 40 | 2.4 | |
| 198c | BOC | 2230 ± 220 | 1820 ± 810 | 0.8 | |
| 198d | Ph | 2000 ± 640 | 2920 ± 1620 | 1.5 | |
| 198e | CH=CHCO2Me | 3600 ± 400 | 3590 ± 1180 | 1.0 |
methyl)_cocaine_analogue.png)


| Structure | S. Singh's alphanumeric assignation |
R | [3H]Mazindol | [3H]DA | Selectivity
Uptake/Binding |
|---|---|---|---|---|---|
| 199a | β(or R)CO2Et | 710 ± 150 | 1060 ± 340 | 1.5 | |
| 199b | α(or S)CO2Et | 5830 ± 630 | 8460 ± 620 | 1.4 |


| Structure | S. Singh's alphanumeric assignation |
R | [3H]Mazindol | [3H]DA | Selectivity
Uptake/Binding |
|---|---|---|---|---|---|
| 200 | 880 ± 350 | 400 ± 140 | 0.4 |
Vinylogous 2β-position carbmethoxy-ester functional replacements

201b & 201c show significant increased potency over cocaine; whereas 201a, 201d & 201e are considerably less so. This infers the hydrogen bond acceptor at the 2β position to not necessarily be of exclusive import in creation of higher binding analogues of cocaine.

| Structure | S. Singh's alphanumeric assignation |
R | [3H]Mazindol | [3H]DA | Selectivity
Uptake/Binding |
|---|---|---|---|---|---|
![]() | |||||
| 201a | H | 1730 ± 550 | 1120 ± 390 | 0.6 | |
| 201b | Cl | 222 ± 49 | 368 ± 190 | 1.6 | |
| 201c | CO2Et | 50 ± 10 | 130 ± 10 | 2.6 | |
| 201d | CH=CHCO2Et | 1220 ± 100 | 870 ± 50 | 0.7 | |
| 201e | PO(OEt)2 | 4850 ± 470 | 5500 ± 70 | 1.1 |
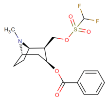
N-modifications



| Additional N-modified cocaine analogue molecular structures | |
|---|---|
|

-6-methyl-6-azabicyclo(3.2.1)octan-3-yl_2-phenylbenzoate.png)
| Compound | S. Singh's alphanumeric assignation (name) |
N8-R | [3H]Mazindol binding |
[3H]DA uptake |
Selectivity
Uptake/Binding |
|---|---|---|---|---|---|
| 217 (Cocaine methiodide) | - | 10700 ± 1530ɑ | - | - |
![]() | (Cocaine) | CH3 | 280 ± 60 102ɑ | 320 ± 10 | 1.1 |
| 218 (Norcocaine) | H | 303 ± 59ɑ | - | - | |
| 219a | Bn | 668 ± 67ɑ | - | - | |
| 219b | Ac | 3370 ± 1080ɑ | - | - | |
| 219c | CH2CH2OH | 700 ± 100 | 1600 ± 200 | 2.3 | |
| 219d | CH2CO2CH3 | 480 ± 40 | 1600 ± 100 | 3.3 | |
| 219e | CH2CO2H | 380 ± 20 | 2100 ± 400 | 5.5 | |
| 220a | SO2CH3 (Ms) | 1290 ± 80 | 1970 ± 70 | 1.5 | |
| 220b | SO2CF3 (Tf) | 330 ± 30 | 760 ± 20 | 2.3 | |
| 220c | SO2NCO | 120 ± 10 | 160 ± 10 | 1.3 | |
| 220d | SO2Ph | 20800 ± 3500 | 61000 | 2.9 | |
| 220e | SO2C6H4-4-NO2 (nosyl) | 5720 ± 1140 | 18800 ± 90 | 3.3 | |
| 220f | SO2C6H4-4-OCH3 | 6820 ± 580 | 16400 ± 1400 | 2.4 | |
| 221a | NO | 99500 ± 12300 | 231700 ± 39500 | 2.3 | |
| 221b | NO2 | 7500 ± 900 | 21200 ± 600 | 2.8 | |
| 221c | NHCOCH3 | >1000000 | >1000000 | - | |
| 221d | NH2 | - | - | - |
- ɑIC50 (nM) for displacement of [3H]WIN 35428
Tropane fused/bridged (N-constrained/tethered) analogues

| Compound | S. Singh's alphanumeric assignation |
R | [3H]Mazindol | [3H]DA | Selectivity
Uptake/Binding |
|---|---|---|---|---|---|
| 222 | 44900 ± 6200 | 115000 ± 15700 | 2.6 |
Back-bridged cocaine analogues are considered more akin to untethered cocaine analogs & phenyltropane derivatives (where the nitrogen lone pair is not fixed or constrained) and better mimics their affinities. This is due to when the eighth carbon tropane position is freely rotatable and unbound it preferably occupies the axial position as defining its least energy & most unhindered state. In front-bridged analogs the nitrogen lone pairings rigid fixity makes it reside in an equatorial placing for the piperidine ring-part of the tropane nucleus, pointing to the two-carbon & three methylene unit bridgehead; giving the attested front-bridged cocaine analogues preference for SERT over DAT.[lower-alpha 25]


1st structure (di-chloro benzene, 2β-CH2OCOMe) SERT = 1.6, DAT = 1870, NET = 638
2nd structure (para-bromo, meta-chloro, 2β-CO2Me) SERT = 2.3, DAT = 5420, NET = 459
3rd structure (para-iodo, meta-chloro, 2β-CH2OCOPh) SERT = 0.06, DAT/NET both = >10K
Azabornane tropane ring contraction
Alterations shortening the tropane ring system while including the benzoyloxy length at the C3 have been made, contrasting the azabornane phenyltropanes;[16] likely remedying the shallow penetration (for good efficacy) of the latter.
-2-methyl-2-azabicyclo(2.2.1)heptan-6-yl_benzoate.png)
5-benzoatic (left) & 6-benzoatic (right)
6/7 tropane position methoxycocaine & methoxypseudococaine analogues

-4-chloro-8-methyl-3-(phenylsulfanyl)-8-azabicyclo(3.2.1)oct-2-ene-2-carboxylate.png)
| Compound | S. Singh's alphanumeric assignation (name) |
X | Ki (nM) [3H]Mazindol binding |
Ki (nM) [3H]DA uptake |
Selectivity
Uptake/Binding |
|---|---|---|---|---|---|
| (Cocaine) | 280 ± 60 | 320 ± 10 | 1.1 | ||
| (Pseudococaine) | 10400 ± 300 | 13800 ± 1500 | 1.3 | ||
| 225a | 2β, 6β-OCH3 | 98000 ± 12000 | 68000 ± 5000 | 0.7 | |
| 225b | 2α, 6β-OCH3 | 190000 ± 11000 | 510000 ± 110000 | 2.7 | |
| 225c | 2β, 7β-OCH3 | 4200 ± 100 | 6100 ± 200 | 1.4 | |
| 225d | 2α, 7β-OCH3 | 45000 ± 5000 | 110000 ± 4000 | 2.4 | |
| 225e | 2α, 7α-OCH3 | 54000 ± 3000 | 200000 ± 70000 | 3.7 |
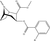
3β-position 2′—(6′) & 2β-substitution combination analogues


| Compound | S. Singh's alphanumeric assignation |
2β-R | C2′-R | IC50 (nM) (displacement of [3H]WIN 35428) |
|---|---|---|---|---|
![]() | ||||
| 211a | CO2OH | H | 6214 ± 1269 | |
| 211b | CH2OCOCH3 | H | 2995 ± 223 | |
| 211c | CONHCH3 | H | >100000 | |
| 211d | CO2Et | H | 2031 ± 190 | |
| 211e | CO2-i-Pr | H | 1377 ± 10 | |
| 211f | CO2Ph | H | 2019 ± 253 | |
| 211g | CO2CH2Ph | H | 4602 ± 325 | |
| 211h | 3-phenyl-1,2,4-oxadiazole | H | 3459 ± 60 | |
| 211i | CH=CH2 | H | 2165 ± 253 | |
| 211j | CH2CH3 | H | 2692 ± 486 | |
| 212 | CO2-i-Pr | HO | 663 ± 70 4507 ± 13ɑ 34838 ± 796b |
- ɑFor displacement of [3H]paroxetine (5-HTT & NET)
- bFor displacement of [3H]nisoxetine (5-HTT & NET)
3β-Carbamoyl analogues



| Compound | S. Singh's alphanumeric assignation (name) |
X | IC50 (nM) inhibition of [3H]Cocaine binding (Rat Striatal Tissue) |
IC50 (nM) inhibition of [3H]DA uptake (Rat Striatal Tissue) |
Selectivity uptake/binding |
|---|---|---|---|---|---|
| (Cocaine) | (H) | 70 ± 10 | 210 ± 70 | 3.0 | |
![]() | |||||
| 223a | H | 5600 ± 700 | 52600 ± 3000 | 9.4 | |
| 223b | 4-NO2 | 1090 ± 250 | 5700 ± 1200 | 5.2 | |
| 223c | 4-NH2 | 63300 ± 12200 | >100000 | - | |
| 223d | 4-N3 | 1000 ± 240 | 1180 ± 360 | 1.2 | |
| 223e | 4-NCS | 260 ± 60 | 490 ± 80 | 1.9 | |
![]() | |||||
| 223f | 3-NO2 | 37 ± 10 | 178 ± 23 | 4.8 | |
| 223g | 3-NH2 | 2070 ± 340 | 23100 ± 900 | 11.1 | |
| 223h | 3-N3 | 630 ± 150 | 3900 ± 1590 | 6.2 | |
| 223i | 3-NCS | 960 ± 210 | 4900 ± 420 | 5.1 |
Phenyl 3-position linkage substitutions



See: List of phenyltropanes (Many phenyltropanes are derived from cocaine metabolites, such as methylecgonidine, as precursors. Whereas fully synthetic methods have been devised from the starting material of vinylcarbenoids & pyrroles.)[21]
The difference in the length of the benzoyloxy and the phenyl linkage contrasted between cocaine and phenyltropanes makes for a shorter distance between the centroid of the aromatic benzene and the bridge nitrogen of the tropane in the latter PTs. This distance being on a scale of 5.6 Å for phenyltropanes and 7.7 Å for cocaine or analogs with the benzoyloxy intact.[lower-alpha 29] This may account for PTs increased behavioral stimulation profile over cocaine.[lower-alpha 30] Differences in binding potency have also been explained considering solvation effects; cocaine containing 2β,3β-ester groups being calculated as more solvated than the WIN-type compounds (i.e. troparil). Higher pKɑs of the tropane nitrogen (8.65 for cocaine, 9.55 for troparil & 11.95 for vinyl analogue 43a), decreased aqueous solvation & decreased conformational flexibility added to increased binding affinity.[lower-alpha 31]

Despite the observation of increased stimulation, phenyltropanes lack the local anesthetic sodium channel blocking effect that the benzoyloxy imparts to cocaine. Beside topical affect, this gives cocaine an affinity for binding to sites on the dopamine and serotonin sodium dependent transport areas that are distinct & specific to MAT in contrast to the general sodium channels; creating a separate mechanism of relational affinity to the transporters in addition to its inhibition of the reuptake for those transporters; this is unique to the local anesthetic value in cocaine & analogues with a similar substitute for the benzoyloxy that leaves the sodium channel blockage ability intact. Rendering such compounds as different functionally in their relation to MAT contrasted to phenyltropane analogues which have the local anesthetic bridge removed.[22] In addition, it even has been postulated that a crucial role regarding the electron energy imparted via voltage sensitization (and thus action potential blockage with a molecule capable of intersecting its specific channel, in the case of cocaine a sodium channel, then acting upon atomic scale triboelectric effect that potentially serves in re-quantifying its charge) upon a receptor binding site may attenuate the mediating influence of the inhibitory regulation that autoreceptors play by their slowing neurotransmitter release when an efflux is created through an instance of agonism by a compound; allowing said efflux to be continued without the body's attempt to maintain homeostasis enacting in as readily responsive a manner to its conformational change.[23]
| Various phenyltropane examples | |
|---|---|
|
3β-Alkylphenyltropane & 3β-Alkenyl analogues
The compound 224e, the 3β-styrene analogue, had the highest potency in its group. While 224b & 224c showed the most selectivity, with 224b having a ten-fold greater potency for the dopamine transporter than cocaine.[lower-alpha 32]



(i.e. compound "224e")
| Compound | S. Singh's alphanumeric assignation (name) |
n | IC50 (nM) [3H]Cocaine binding |
IC50 (nM) [3H]DA uptake |
Selectivity uptake/binding |
|---|---|---|---|---|---|
| (Cocaine) | 101 ± 26 | 209 ± 20 | 2.1 | ||
![]() | |||||
| 224a | 1 | 885 ± 18 | 1020 ± 52 | 1.1 | |
| 224b | 2 | 9.9 ± 0.33 | 70.5 ± 1.0 | 7.1 | |
| 224c | 3 | 344 ± 12 | 2680 ± 190 | 7.8 | |
| 224d | 71.6 ± 0.7 | 138 ± 9 | 1.9 | ||
| 224e | 2.10 ± 0.04 | 5.88 ± 0.09 | 2.8 |
6-Alkyl-3-benzyltropane analogues

| Cocaine 229b—f series analogues | |
|---|---|
|
| Cocaine 230b—f series analogues | |
|---|---|
|
| Cocaine 231c—f series analogues | |
|---|---|
|
| Cocaine 232c, d & f series analogues | |
|---|---|
|
| Compound | S. Singh's alphanumeric assignation (name/WIN number) |
R | Ki (nM) [3H]WIN 35428 binding |
IC50 (nM) [3H]DA uptake |
Selectivity
uptake/binding |
|---|---|---|---|---|---|
| (Cocaine) | 32 ± 5 338 ± 221 | 405 ± 91 405 ± 91 | 12.6 1.2 | ||
| 11a (WIN 35065-2) | 33 ± 17 314 ± 222 | 373 ± 10 | 11.3 | ||
| (−)-229a | H | 33 ± 5 | 161 ± 100 | 4.9 | |
| 229a | H | 91 ± 10 | 94 ± 26 | 1.0 | |
| 229b | Me | 211 ± 23 | - | - | |
| 229c | Et | 307 ± 28 | - | - | |
| 229d | n-Pr | 4180 ± 418 | - | - | |
| 229e | n-Bu | 8580 ± 249 | - | - | |
| 229f | Bn | 3080 ± 277 | - | - | |
| (+)-230a | H | 60 ± 6 | 208 ± 63 | 3.5 | |
| 230a | H | 108 ± 14 | 457 ± 104 | 4.2 | |
| 230b | Me | 561 ± 64 | - | - | |
| 230c | Et | 1150 ± 135 | - | - | |
| 230d | n-Pr | 7240 ± 376 | - | - | |
| 230e | n-Bu | 19700 ± 350 | - | - | |
| 230f | Bn | 7590 ± 53 | - | - | |
| 231b | Me | 57 ± 5 | 107 ± 36 | 1.9 | |
| 231c | Et | 3110 ± 187 | - | - | |
| 231d | n-Pr | 5850 ± 702 | - | - | |
| 231f | Bn | 1560 ± 63 | - | - | |
| 232b | Me | 294 ± 29 | 532 ± 136 | 1.8 | |
| 232c | Et | 6210 ± 435 | - | - | |
| 232d | n-Pr | 57300 ± 3440 | - | - | |
| 232f | Bn | 3080 ± 277 | - | - | |
| 241 | Bn | 4830 ± 434 | - | - |
| Sub-category (S. Singh compound #) |
a R=H |
b R=Me |
c R=Et |
d R=n-Pr |
e R=n-Bu |
f R=Bn |
|---|---|---|---|---|---|---|
| 6α-isomers: 237a—f | ||||||
![]() | ![]() | ![]() | ![]() | ![]() | ![]() | |
| 6β-isomers (exo): 238a—f | ||||||
![]() | ![]() | ![]() | ![]() | ![]() |
| |
| 3β-benzyl derivatives: 239a—f | ||||||
![]() | ![]() | ![]() | ![]() | ![]() | ![]() | |
| intermediate alkylidene esters: 240a—f | ||||||
![]() | ![]() | ![]() | ![]() | ![]() | ![]() | |
N.B. that 237a and 238a are the same compound as both are the parent for either series with a hydrogen saturated in their respective substitution place.
Direct 2,3-pyrimidino fused

below: Chalcostrobamine

cf. strobamine (at right) for a more efficacious compound as like the below.
| Structure | alphanumeric assignation |
R1 | R2 | hDAT IC50 (nM) |
hSERT IC50 (nM) |
hNET IC50 (nM) |
|---|---|---|---|---|---|---|
![]() | ||||||
| (—)-3a | H | C6H5 | 58,300 (20,200) | 6140 (3350) | NA | |
| (+)-3a | H | C6H5 | 48,700 (20,100) | 6030 (3400) | NA | |
![]() | ||||||
| (—)-3b | H | NH2 | NA | NA | NA | |
| (+)-3b | H | NH2 | NA | NA | NA | |
![]() | ||||||
| (—)-3c | H | CH3 | NA | NA | NA | |
| (+)-3c | H | CH3 | NA | NA | NA | |
![]() | ||||||
| (—)-3d | H | H | NA | NA | NA | |
| (+)-3d | H | H | NA | NA | NA | |
| (+/—)-3e | C6H5 | C6H5 | 30,000 (11,200) | 3650 (1700) | NA |
- "NA" = "no affinity", e.g. unquantifiable.
Direct di-hetero-benzene (pyrimidino) 2,3-fused and thus rigidified cocaine analogs.[25]
Piperidine cocaine-homologues
-8-methyl-3-(tricyclo(9.4.0.0%C2%B3%2C%E2%81%B8)pentadeca-1(11)%2C3%2C5%2C7%2C12%2C14-hexaene-2-carbonyloxy)-8-azabicyclo(3.2.1)octane-2-carboxylate.png)
cf. phenyltropane piperidine-homologues for compounds with a more optimized conformation that yield higher affinities when binding to MAT.

| Compound | S. Singh's alphanumeric assignation (name) |
2β-R | IC50 (nM) |
|---|---|---|---|
| (Cocaine) | CO2CH3 (i.e. CO2Me) | 249 ± 37 | |
| 183a | CO2CH3 | 2522 ± 4 | |
| 242 | H | 11589 ± 4 | |
| 243 | CO2CH3 | 8064 ± 4 |
Cocaine hapten analogues

| Compound | S. Singh's alphanumeric assignation (name) |
2β-R |
|---|---|---|
| 394 (GNC)ɑ | CO2(CH2)5CO2H |
| 395 (Succinyl Norcocaine)[27] | CO2CH3 |
| GNEb[28] including carrier proteins: GNE-FLiC GNE-KLH GNE-BSA | |
![]() | 396 | CONH(CH2)5CO2H |
- ɑ6-(2R,3S)-3-(benzoyloxy)-8-methyl-8-azabicyclo [3.2.1] octane-2-carbonyloxy-hexanoic acid
- b6-(2R,3S)-3-(benzoyloxy)-8-methyl-8-azabicyclo [3.2.1] octane-2-carboxamido-hexanoic acid

| Compound | S. Singh's alphanumeric assignation (name) |
R |
|---|---|---|
![]() | ||
| 401a | CH3 | |
| 401b | (CH2)5CO2H | |
| 401c | CH2CO2H | |
| 401d | COCH2CH2CO2H | |
| 401e | H | |
| 401f | CH2CH2Br | |
| 385g | (CH2)2NHCO(CH2)2CONH2 | |
![]() | ||
| 402a | O(CH2)4NHCO(CH2)2CO2…2,3-dihydro-1H-isoindole-1,3-dione | |
| 402b | OH | |
| 402c | O(CH2)2…1,4-xylene…NH2 | |
| 402d | NH(CH2)5CO2H | |
| 402e | O(CH2)4NHCO(CH2)2CONH2 | |
![]() | ||
| 403a | NH2 | |
| 403b | NHCOCH2Br | |
| 403c | NHCO(CH2)3CO2H | |
| 403d | (CH2)3NHCO(CH2)2CONH2 |
Cocaine haptens that create catalytic anti-bodies require transitional states as affected in vivo.[29][30]
| Compound | Name |
|---|---|
![]() | |
| K1-KLH/BSA[32] | |
![]() | |
| K2-KLH/BSA |
Structural/Functional intermediate analogues
Tropane (non-ecgonine) analogues
The first compound of those categorized as an "intermediate analog" in the series presented immediately below (para-fluoro-benzoyl-tropane), although several modifications distant from its cocaine parent structure, fits every technical criteria of a strict analog type to cocaine. It is given here, however, as the nearest relational structure along the instanced spectrum trajectory of substituent permutations of those following from it (in this first section), and set it as the beginning ingress point for the range of those comparable but sufficiently divergent from those in full homogeneity of structure and function to distinguish a more median class that is not in as much a rigid stereotyped placement to both (and not yet approaching the fringe or outermost terms allowing inclusion)


pFBT:
Zatosetron:
Tropanserin:
Bemesetronum: 
- 3-(p-Fluorobenzoyloxy)tropane (30% stimulant potency of cocaine & equipotent as an anaesthetic)
- Zatosetron (anxiolytic & antinauseant 5HT3 receptor antagonist)
- Tropanserin (migraine medication, potent & selective 5HT3 antagonist)
- Bemesetronum (antiemetic, mechanisms related to oxytocin function, serotonin D-receptors, cholinoreceptors of the muscarinic or nicotinic kind and histamine H1-receptors[34])
- cf. Tropisetron
Convolamine:
Phyllalbine: 
Similarly, many natural tropane alkaloids found in plants of various families have benzoyl tropane structures. Including; catuabine, convolamine of the convolvulaceae & phyllalbine of euphorbiaceae (Phyllanthus discoïdes) families. The latter is a central and peripheral sympathomimetic drug.[35] Phyllalbine is also to methylvanillylecgonine what tropacocaine, as a metabolite, is to cocaine. Likewise vanillin would be a hydrolytic degradation product of phyllalbine just as methyl benzoate is for cocaine.
Other tropanyl compounds (naturally found or otherwise) begin to fall outside the spectrum of functional analogues to cocaine altogether; having negligible affinity of any kind for the monoamine system. Compare for example ipratropium, mirisetron, technepine, levomepate or scopolamine & atropine. Many of the natural varieties being deliriants.
NK-1145:
EGIS-3886:
cpd #278[lower-alpha 39] (mono-phenyl benztropine):
The benzoyloxy can even be replaced with other branch formations (terminating in a benzene ring) and the bridge between will still serve to create a parasympatholytic drug compound that causes behavioral stimulation, as the above: NK-1145 "tropine-3β-phenyl ether."[36] Deramciclane (EGIS-3886) is a camphor derived serotonergic. Similar to several other kinds of aromatics in structure and being an inverse agonist at the 5-HT2C receptor as well as an antagonist at the 5-HT2A.
Azaprocin:
Pseudotropinearylether: 
- Azaprocin (a fast onset, short duration opioid analgesic with tropane emulating every constituent element shared by cocaine; somewhat similar to how fentanyl overlays methylphenidate, save for in that case there's an additional constituent of a phenylethyl tail). Also of note: the arene-fluorinated pseudotropinearylether with respect to U.S. Patent 4,861,889
Piperidine Analogues

See: List of methylphenidate analogues
Many of the piperidine analogues of cocaine serve as the 'missing link' between the cocaine structure and that of the methylphenidate class of drugs. For example, DMNPC preserves an orientation similar to the phenyltropanes, but is a structural isomer of methylnaphthidate.

The above depicts the 3D structure of the above-mentioned methylnaphthidate shown with the same modeling for the cocaine derivative WIN 35428, a simple phenyltropane with a short addition to its para position. This overlay shows the closeness of where the two hold their respective oxygen and nitrogens in their structure (also their benzene & cycloalkane ring formations) and is meant to convey a sense of their similarity for binding to MAT. Correspondingly most other monoamine reuptake inhibitors bind to the dopamine transporter substrate recognition site at Tm loci 1, 7 & 10—12; whereas cocaine & methylphenidate similarly share the 1 & 7 places, but diverge from the usual ligand site of the latter and instead cohabit the 9—11 loci.[lower-alpha 40] Site-directed mutagenesis techniques have elucidated that the hydrophobic putative transmembrane regions at one & seven contain aspartate and serine residues, and that the carboxyl-group interacts with the former aspartic acid residue 79 which engages with cocaine & methylphenidate's protonated nitrogen at the transporter.[lower-alpha 41] Previous theories of an allosteric site for cocaine and related compounds which do not overlap with the binding site of dopamine itself are less prevalent in light of more recent observations since LeuT became feasible as a modeling template.[38]
One rationale to denote the subjective preference for cocaine over methylphenidate in animal habituation & human addiction models has to do with the respective difference in their entropy of binding: cocaine being —5.6 kcal/mol & methylphenidate being —25.5 kcal/mol (Δs°, measured using [³H]GBR 1278 @ 25 °C)[lower-alpha 42]
- JZ-IV-10 (a "Modafinil hybrid" with nocaine.[39] cf. List of modafinil analogues)

-CPCA.svg.png)
A somewhat recent occurrence among tentative modern folklore which has traversed the circling of rumors mostly confined to the likes of universities and popular culture trivia has been that cocaine is one element, or molecule increment of weight or charge etc., away from the molecular structure of sugar.[40] Though such a statement is false as a general pretense, there is a dextrose based super-structure that has a vaguely similar overlay with cocaine which is "benzoyl-beta-D-glucoside."

Benztropine (3α-Diphenylmethoxy Tropane) Analogs

- Benzatropine (BZT)[41]
- Difluoropine (O-620), More selective as a DARI than cocaine. Also an anticholinergic & antihistamine.
- AHN 1-055 Same structure as for benztropine but 4′,4′-bisfluorinated.
- GA 103 N-phenylpropyl bis-4-fluorobenztropine.
- JHW 007[42] N-(n-butyl)-3α-[bis(4′-fluorophenyl)methoxy]-tropane.

Unlike cocaine & phenyltropanes, the benztropines & GBR compounds (and, as an exception to the cocaine pharmacophore itself, allotropacocaine) among others are considered "atypical" DAT re-uptake pump ligands because they stabilize the dopamine transporter in an inward-facing or closed-to-out conformation, this contrasts what is considered "cocaine-like" affinity to DAT; which would instead keep DAT stable in an open-to-out conformation. This means the binding of many dopamine reuptake inhibitors is atypical of cocaine's method of binding to DAT and significantly diverges from it.[43]
"Difluoropine" is not a phenyltropane but actually belongs to the benzatropine family of DRIs. Not to be confused for the "diaryl"-phenyltropanes.
In certain respects these are important because they share SAR overlap with GBR 12909 and related analogs.
SARs have shown that 4′,4′-difluorination is an excellent way to boost DAT activity of benztropine, and gives excellent selectivity over the SERT and the NET.[44][45]
Furthermore, replacing the N-Me with, e.g. n-phenylpropyl helps to bring muscarinic activity down to something that is the same as DRI affinity.[44]
This is remarkable considering unmodified (native) benztropine is 60 times more active as an anticholinergic than as a dopaminergic.[44]
M1 receptor considerations aside, analogues of this benztropine class still won't substitute for cocaine, and have no propensity to elevate locomotor activity.

| Compound | S. Singh's alphanumeric assignation (name) |
R | R′ | Ki (nM) [3H]WIN 35428 binding |
IC50 (nM) [3H]DA uptake |
Selectivity
uptake/binding |
|---|---|---|---|---|---|---|
| (Cocaine) | 388 ± 47 | - | - | |||
| (GBR 12909) | 11.6 ± 31 | - | - | |||
![]() | ||||||
| (Benztropine) | H | H | 118 ± 9 | 403 ± 115 | 3.4 | |
| 249a | 4′-F | H | 32.2 ± 10 | 48 | 1.5 | |
| 249b (AHN 1-055) | 4′-F | 4′-F | 11.8 ± 1 | 71 | 6.0 | |
| 249c | 3′,4′-di-F | H | 27.9 ± 11 | 181 ± 45.7 | 6.5 | |
| 249d | 4′-Cl | H | 30.0 ± 12 | 115 | 3.8 | |
| 249e | 4′-Cl | 4′-Cl | 20.0 ± 14 | 75 | 3.8 | |
| 249f | 3′,4′-di-Cl | H | 21.1 ± 19 | 47 | 2.2 | |
| 249g | 3′,4′-di-Cl | F | 18.9 ± 14 | 24 | 1.3 | |
| 249h | 4′-Br | H | 37.9 ± 7 | 29 | 0.8 | |
| 249i | 4′-Br | 4′-Br | 91.6 | 34 | 0.4 | |
| 249j | 4′-NO2 | H | 197 ± 8 | 219 | 1.1 | |
| 249k | 4′-CN | H | 196 ± 9 | 222 | 1.1 | |
| 249l | 4′-CF3 | H | 635 ± 10 | 2155 | 3.4 | |
| 249m | 4′-OH | H | 297 ± 13 | 677 | 2.3 | |
| 249n | 4′-OMe | H | 78.4 ± 8 | 468 | 6.0 | |
| 249o | 4′-OMe | 4′-OMe | 2000 ± 7 | 2876 | 1.4 | |
| 249p | 4′-Me | H | 187 ± 5 | 512 | 2.7 | |
| 249q | 4′-Me | 4′-Me | 420 ± 7 | 2536 | 6.0 | |
| 249r | 4′-Et | H | 520 ± 8 | 984 | 1.9 | |
| 249s | 4′-t-Bu | H | 1918 | 4456 | 2.3 | |
| 250a | 3′-F | H | 68.5 ± 12 | 250 ± 64.7 | 3.6 | |
| 250b | 3′-F | 3′-F | 47.4 ± 1 | 407 ± 63.9 | 8.6 | |
| 250c | 3′-Cl | H | 21.6 ± 7 | 228 ± 77.1 | 10.5 | |
| 250d | 3′-CF3 | H | 187 ± 5 | 457 ± 72.0 | 2.4 | |
| 251a | 2′-F | H | 50.0 ± 12 | 140 ± 17.2 | 2.8 | |
| 251b | 2′-Cl | H | 228 ± 9 | 997 ± 109 | 4.4 | |
| 251c | 2′-Me | H | 309 ± 6 | 1200 ± 1.64 | 3.9 | |
| 251d | 2′-NH2 | H | 840 ± 8 | 373 ± 117 | 0.4 |
| Compound | S. Singh's alphanumeric assignation (name) |
R | R′ | IC50 (nM) DAT (Binding of [3H]WIN 35428) |
IC50 (nM) 5-HTT (Binding of [3H]Citalopram) |
Selectivity 5-HTT/DAT |
|---|---|---|---|---|---|---|
| (benztropine) | 312 ± 1.1 | 24100 ± 14800 | 77.2 | |||
| (WIN 35428) | 12.9 ± 1.1 | 160 ± 20 | 12.4 | |||
| R-256 | 2040 ± 283 | 1460 ± 255 | 0.7 | |||
![]() | ||||||
| S-257a | H | H | 33.5 ± 4.5 | 10100 ± 1740 | 301 | |
| S-257b | H | F | 13.2 ± 1.9 | 4930 ± 1200 | 373 | |
| S-257c (difluoropine) | F | F | 10.9 ± 1.2 | 3530 ± 1480 | 324 | |
| S-257d | H | Cl | 15.8 ± 0.95 | 5960 ± 467 | 377 | |
| S-257e | Cl | Cl | 91.4 ± 0.85 | 3360 ± 1480 | 36.8 | |
| S-257f | H | Br | 24.0 ± 4.6 | 5770 ± 493 | 240 | |
| S-257g | Br | Br | 72.0 ± 3.65 | 2430 ± 339 | 33.7 | |
| S-257h | H | I | 55.9 ± 10.3 | 9280 ± 1640 | 166 | |
| S-257i | Br | I | 389 ± 29.4 | 4930 ± 82 | 12.7 | |
| S-257j | I | I | 909 ± 79 | 8550 ± 442 | 9.4 | |
| S-257k | H | Me | 49.5 ± 6.0 | 13200 | 266 | |
| S-257l | Me | Me | 240 ± 18.4 | 9800 ± 2680 | 40.8 |

| Compound | S. Singh's alphanumeric assignation (name) |
R | n | IC50 (nM) DAT (Binding of [3H]WIN 35428) |
IC50 (nM) 5-HTT (Binding of [3H]Citalopram) |
Selectivity 5-HTT/DAT |
|---|---|---|---|---|---|---|
![]() | ||||||
| 258a | 20.3 ± 3.5 | - | - | |||
| 258b | H | 1 | 223 ± 53 | 4970 ± 700 | 22.3 | |
| 258c | H | 3 | 22.0 ± 11.9 | 19.7 ± 3 | 0.9 | |
| 258d | Br | 3 | 80.2 ± 8.8 | 234 ± 0.5 | 2.9 | |
| 258e | I | 3 | 119 ± 11 | 2200 ± 1250 | 18.5 | |
| 258f | H | 5 | 99.0 ± 28 | 550 ± 63 | 5.5 | |
| 259 | 616 ± 88 | 55200 ± 20000 | 89.3 |
| Compound | S. Singh's alphanumeric assignation (name) |
R | Ki (nM) DAT (Binding of [3H]WIN 35428) |
IC50 (nM) 5-HTT (Uptake of [3H]DA) |
Selectivity uptake/binding |
|---|---|---|---|---|---|
![]() | |||||
| 260 (AHN 2-003) | H | 11.2 ± 11 | 9.7 | 0.9 | |
| 261a | 3-phenylpropyl | 41.9 ± 11 | 230 | 5.5 | |
| 261b | indole-3-ethyl | 44.6 ± 11 | 1200 | 26.9 | |
| 261c | 4-phenylbutyl | 8.51 ± 14 | 39 | 4.6 | |
| 261d | 4-(4′-nitrophenyl)butyl | 20.2 ± 11 | 650 | 32.2 | |
| 261e | 3-(4′-fluorophenyl)propyl | 60.7 ± 12 | - | - | |
| 262a | n-butyl | 24.6 ± 8 | 370 | 15.0 | |
| 262b | cyclopropylmethyl | 32.4 ± 9 | 180 | 5.5 | |
| 262c | allyl | 29.9 ± 10 | 14 | 0.5 | |
| 262d | benzyl | 82.2 ± 15 | 290 | 3.5 | |
| 262e | 4-fluorobenzyl | 95.6 ± 10 | 200 | 2.1 | |
| 262f | cinnanyl | 86.4 ± 12 | 180 | 2.1 | |
| 262g | [bis(4-fluorophenyl)methoxy]ethyl | 634 ± 23 | - | - | |
| 262h | [(4-nitrophenyl)phenylmethoxy]ethyl | 57.0 ± 17 | - | - | |
| 263 | acetyl | 2340 | 4600 | 2.0 | |
| 264 | formyl | 2020 ± 13 | 5400 | 2.7 | |
| 265a | Ts | 0%ɑ | - | - | |
| 265b | Ms | 18%ɑ | - | - | |
| (AHN 2-005)[46] | CH2CH=CH2 | - | - | - | |
| (JHW 007)[46] | CH2CH2CH2CH3 | - | - | - | |
| (GA 2-99)[46] | CH2CH2NH2 | - | - | - | |
| (GA 103)[46] | CH2CH2CH2CH2Ph | - | - | - | |
| 266 | 108 ± 12 | 130 | 1.2 | |
ɑInhibition at 10 µM

| Compound | S. Singh's alphanumeric assignation (name) |
IC50 (nM) DAT (Binding of [3H]WIN 35428) |
IC50 (nM) 5-HTT (Binding of [3H]Citalopram) | |
|---|---|---|---|---|
| R/S-268 | 2β,3β | >10000 | >1660 |
| R/S-269 | 2α,3β | 20300 | >1660 | |
| R/S-270 | 2α,3α | 22300 | >1660 | |
| R/S-271 | 2β,3α | 520 | >1660 |
8-Aminopentacyclo (σ receptor ligand) Trishomocubane Analogs
cf. other trishomocubanes such as basketane.





Polycyclic cage molecules: N-substituted 8-aminopentacyclo[5.4.0.02,6.03,10.05,9]undecanes (AHDs) & related.
The 3-FPh, 14b, has 1.2 ± 0.1 Ki (nM ± SEM) @ DAT.[47]
-N-((3-fluorophenyl)methyl)-N-methylpentacyclo(5.4.0.0%C2%B2%2C%E2%81%B6.0%C2%B3%2C%C2%B9%E2%81%B0.0%E2%81%B5%2C%E2%81%B9)undecan-8-amine.png)
Bicyclic Amine Analogues

Quinuclidine Analogues

Miscellaneous loosely analogous stimulants
(SNDRI compound) ![]()
|
Benzoates (Structures with both stimulant & local anesthetic effects)
- Dimethocaine/Larocaine (DMC) (An aniline)
- Nitracaine

See some of Robert Clarke's contributions
Organochlorides

A potent and long-lasting monoamine re-uptake inhibitor used in drug research.

Quinolizidines










2,3-Benzodiazepines
octane-3%2C5%E2%80%B2(4%E2%80%B2H)-isoxazole.svg.png)
octane-3%2C5%E2%80%B2(4%E2%80%B2H)-isoxazole.png)

Phenethylamines
Methylenedioxypyrovalerone:
Prolintane:
α-Pyrrolidinopropiophenone: 
Many phenethylamines are dopamine releasers, however, certain drugs of the family inhibit dopamine reuptake & transport which may be loosely classed as cocaine analogs. Dependent upon their specific configurations. Like has been shown with cocaine, methylenedioxypyrovalerone (MDPV) has been shown to similarly be neuroprotective against the neural damage caused by amphetamine type drugs (i.e. releasers)[49]
Adamantanes


Pyridines

Nicotinic agonist which stimulates the release of dopamine.
Naphthyridines


Being a carboxylic acid, amfonelic acid could potentially be used as a carboxylate for the protonation to the free base of another compound; even conceivably creating a 'cocaine amfonelate' or 'cocaine AFA' as opposed to cocaine HCl, cocaine citrate or cocaine HBr et cetera wherein such a case it's conjugate used to form it as a salt would additionally be dopaminergic.
Quinazolinamines (Allosteric functional DAT reuptake inhibitors)
cf. the benztropine phenyltropanes:

SoRI-20041 is a functional, but not structural, cocaine analog which violates traditional structure analog categorization in its case that it has an entirely other binding site. It is however an analog to cocaine in the sense that it functions as a partial DARI on DAT, although doing so when said DAT is compromised by amphetamine-type mediated release of DA. Something unaugmented cocaine cannot do. It nevertheless performs the role of an analogous adjunct to cocaine's function for phosphorylated DAT. It is however worth noting that as for its structure, it displays a certain degree of shared conformation with the benztropine phenyltropanes.
Piperazines (Aryl-1,4-dialkyl piperazines)
piperazine.png)
GBR-13098:
281 (decanoate 5): 
GBR compounds were derived from the benztropines by replacing their tropane nucleus with a piperazine ring (and therefore constitute being congeners with cocaine).[lower-alpha 48] The name "GBR" is derived from its maker Gist-Brocades (now DSM), Netherlands.

GBR compounds are sometimes broadly classed as being, and referred to by the term, "rimcazole analogs"[51] - for example the compounds: JJC 1-059, JJC 2-010, and JJC 2-006.[46]
| Compound | S. Singh's alphanumeric assignation (name) |
R | Ki (nM) [3H]WIN 35425 |
IC50 (nM) [3H]DA |
Selectivity DA/DAT uptake/binding |
|---|---|---|---|---|---|
| (Cocaine) | 224 ± 3.4 | 208 ± 7.4 | 0.93 | ||
| (WIN 35428) | 24 ± 3.1 | 14 ± 1.8 | 0.58 | ||
| (DA) | 10000 ± 2400 | 44 ± 5.3 | 0.004 | |
| 279 (GBR 12909/Vanoxerine) | 27 ± 4.1 0.06 ± 0.02b 52.8 ± 4.4c >20,000d | 0.21 ± 0.06 | 0.007 880e >333,333.3f | |
| 282 (GBR 12783) | H | 12 ± 1.2ɑ | - | - |
![]() | |||||
| 284a | 3-NH2 | 12 ± 1.0 | 7 ± 3.5 | 0.58 | |
| 284b | 3-NCS | 160 ± 17 | 106 ± 37 | 0.67 | |
| 284c | 4-NH2 | 11 ± 0.7 | 1.6 ± 0.2 | 0.14 | |
| 284d | 4-NO2 | 26 ± 9.3 | 2.7 ± 0.1 | 0.10 | |
| 284e | 4-NCS | 159 ± 12 | 26 ± 1.8 | 0.16 | |
| 284f | 4-maleimide | 2327 ± 1000 | 476 ± 61 | 0.20 |
- ɑIC50 for inhibiting [3H]methylphenidate
- bKi (nM) for inhibiting [3H]GBR 12935
- cKi (nM) for inhibiting [3H]Paroxetine @ 5-HTT
- dKi (nM) for inhibiting [3H]Nisoxetine @ NET
- eSelectivity between 5-HTT/DAT
- fSelectivity between NET/DAT
| Compound | S. Singh's alphanumeric assignation (name) |
R | X-Y (289-290) R1 (298) |
IC50 (nM) [3H]GBR 12935 binding |
IC50 (nM) [3H]DA uptake |
IC50 (nM) [3H]5-HT uptake |
Selectivity [3H]DA uptake/DAT binding |
Selectivity [3H]5-HT/[3H]DA uptake |
|---|---|---|---|---|---|---|---|---|
| (Cocaine) | 660 ± 30 (Ki value) | 478 ± 25 | 304 ± 10 | 0.72 | 0.64 | |||
| (GBR 12935) | 4.1 ± 0.6 | 3.7 ± 0.4 | 289 ± 29 | 0.90 | 78.1 | ||
| 279 (GBR 12909) | 5.5 ± 0.4 | 4.3 ± 0.3 | 73 ± 1.5 | 0.78 | 17.0 | |||
![]() | ||||||||
| 289a | H | C-C | 21 ± 1.0 | 9.6 ± 1.5 | 1720 ± 70 | 0.46 | 179 | |
| 289b | F | C-C | 40 ± 1 | 15 ± 2 | 459 ± 26 | 0.37 | 30.6 | |
| (-)289b (2S,5R) | F | C-C | 3.6 ± 0.14 | 8.1 ± 0.3 | - | 2.25 | - | |
| (+)289b (2R,5S) | F | C-C | 125 ± 7.0 | 87 ± 4.1 | - | 0.70 | - | |
| 289c | H | C=C | 103 ± 13 | 20 ± 4 | 2680 ± 122 | 0.19 | 134 | |
| 289d | F | C=C | 23 ± 3 | 28 ± 5 | 1180 ± 404 | 1.22 | 42.1 | |
![]() | ||||||||
| 290a (LR1111) | H | C-C | 7.9 ± 1.7 | 7.2 ± 0.5 | 34100 ± 359 | 0.91 | 4736 | |
| 290b | F | C-C | 4.4 ± 0.4 | 3.4 ± 0.4 | 112 ± 24 | 0.77 | 32.9 | |
| 290c | H | C=C | 8.6 ± 1.1 | 0.6 ± 0.1 | 503 ± 103 | 0.07 | 838 | |
| 290d | F | C=C | 2.6 ± 0.4 | 3.4 ± 0.4 | 234 ± 10 | 1.31 | 68.8 | |
| 291 | 286 ± 8 | 87 ± 5 | 3150 ± 491 | 0.30 | 36.2 | ||
| 292 | 864 ± 91 | 93 ± 6 | 1590 ± 60 | 0.11 | 17.1 | ||
| 293 | 27 ± 4 | 18 ± 1 | 2450 ± 57 | 0.67 | 136 | ||
| 294 | 169 ± 5 | 83 ± 7 | 1890 ± 268 | 0.49 | 22.8 | ||
| 295 | 80 ± 6 | 35 ± 2 | 376 ± 19 | 0.44 | 10.7 | ||
| 296 | 74 ± 5 | 57 ± 10 | 2860 ± 45 | 0.77 | 50.2 | ||
| 297 | 20 ± 0.7 | 9.3 ± 1.8 | 1480 ± 69 | 0.46 | 159 | ||
![]() | ||||||||
| (-)298a | H | H | 5.1 ± 0.4 | 0.7 ± 0.05 | 986 ± 34 | 0.14 | 1409 | |
| (+)298a | H | H | 747 ± 163 | 127 ± 10 | 3210 ± 450 | 0.17 | 25.3 | |
| (-)298b | F | H | 104 ± 8 | 29 ± 2 | 20100 ± 2400 | 0.28 | 693 | |
| (-)298c | H | OH | 222 ± 13 | 31 ± 0.1 | 857 ± 17 | 0.14 | 27.6 |
| Compound | S. Singh's alphanumeric assignation (name) |
R | R1 | IC50 (nM) [125I]RTI-55 binding DAT |
IC50 (nM) [125I]RTI-55 binding 5-HTT |
IC50 (nM) reuptake [3H]DA |
IC50 (nM) reuptake [3H]5-HT |
Selectivity binding 5-HTT/DAT |
Selectivity uptake [3H]5-HT/[3H]DA |
|---|---|---|---|---|---|---|---|---|---|
| (GBR 12935) | C6H5 | 3.7 ± 0.3 | 623 ± 13 | 3.7 ± 0.4 | 298 ± 29 | 168 | 80.5 | ||
![]() | |||||||||
| 304a | 2-thienyl | 5.2 ± 0.3 | 842 ± 30 | 9.7 ± 0.2 | 1990 ± 58 | 162 | 205 | ||
| 304b | 2-furyl | 6.5 ± 0.2 | 1520 ± 47 | 8.5 ± 0.5 | 2550 ± 87 | 34 | 300 | ||
| 304c | 2-pyridyl | 78 ± 4 | 2420 ± 65 | 70 ± 6 | 3700 ± 148 | 31.0 | 52.8 | ||
| 279 (GBR 12909) | C6H5 | 3.7 ± 0.4 | 126 ± 5 | 7.3 ± 0.2 | 73 ± 2 | 34.0 | 10.0 | |
![]() | |||||||||
| 305a | 2-thienyl | 3.3 ± 0.1 | 105 ± 2 | 6.1 ± 0.7 | 335 ± 17 | 31.8 | 54.9 | ||
| 305b | 2-furyl | 5.9 ± 0.3 | 204 ± 7 | 7.9 ± 0.5 | 412 ± 9 | 34.6 | 52.1 | ||
| 305c | 2-pyridyl | 16 ± 0.2 | 2800 ± 139 | 20 ± 0.8 | 6520 ± 293 | 175 | 326 | ||
| 282 (GBR 12783) | C6H5 | - | - | - | - | - | - | ||
![]() | |||||||||
| 306a | 2-thienyl | 6.4 ± 0.3 | 1170 ± 31 | 10 ± 0.7 | 2020 ± 141 | 183 | 202 | ||
| 306b | 2-furyl | 5.0 ± 0.3 | 1840 ± 59 | 9.6 ± 0.3 | 2700 ± 136 | 368 | 281 | ||
| 306c | 2-pyridyl | 44 ± 3 | 2670 ± 66 | 64 ± 2 | 3620 ± 179 | 60.7 | 56.6 | ||
| 283 (GBR 13069) | C6H5 | 0.9 ± 0.1 | 135 ± 7 | 11 ± 0.6 | 576 ± 32 | 150 | 52.4 | |
![]() | |||||||||
| 307a | 2-thienyl | 2.2 ± 0.1 | 88 ± 2 | 13 ± 1.4 | 374 ± 17 | 40.0 | 28.8 | ||
| 307b | 2-furyl | 1.8 ± 0.3 | 109 ± 4 | 7.2 ± 0.4 | 442 ± 23 | 60.5 | 61.4 | ||
| 307c | 2-pyridyl | 13.6 ± 0.2 | 334 ± 12 | 14.5 ± 1.9 | 666 ± 21 | 24.5 | 45.9 | ||
![]() | |||||||||
| 308a | H | (benzothiophen-2-yl)methyl | 18.1 ± 1 | 2420 ± 109 | 19 ± 1 | 3520 ± 289 | 134 | 185 | |
| 308b | F | (benzothiophen-2-yl)methyl | 4.1 ± 1.1 | 495 ± 18 | 34 ± 2 | 1230 ± 40 | 121 | 36.2 | |
![]() | |||||||||
| 309a | H | (benzofuran-2-yl)methyl | 17 ± 0.5 | 1890 ± 48 | 22 ± 0.7 | 3040 ± 213 | 111 | 138 | |
| 309b | F | (benzofuran-2-yl)methyl | 6.4 ± 0.2 | 286 ± 10 | 18.6 ± 0.6 | 767 ± 27 | 44.7 | 41.2 | |
![]() | |||||||||
| 310a | H | (indol-2-yl)methyl | 1.1 ± 0.1 | 668 ± 39 | 8.8 ± 0.7 | 2120 ± 166 | 607 | 241 | |
| 310b | F | (indol-2-yl)methyl | 0.7 ± 0.1 | 119 ± 5 | 13 ± 0.2 | 506 ± 23 | 170 | 38.9 | |
![]() | |||||||||
| 311a | H | (benzimidazol-2-yl)methyl | 46 ± 1 | 1884 ± 72 | 37 ± 2 | 4076 ± 221 | 41.0 | 110 | |
| 311b | F | (benzimidazol-2-yl)methyl | 15 ± 0.2 | 256 ± 7 | 20 ± 0.8 | 797 ± 43 | 17.1 | 39.8 | |
![]() | |||||||||
| 312a | H | (quinolin-2-yl)methyl | 199 ± 5 | 1990 ± 5 | 192 ± 8 | 4120 ± 212 | 10.0 | 21.5 | |
| 312b | F | (quinolin-2-yl)methyl | 56 ± 1 | 51 ± 16 | 106 ± 12 | 339 ± 31 | 0.9 | 3.2 | |
![]() | |||||||||
| 313a | H | (quinolin-3-yl)methyl | 72 ± 2 | 1160 ± 27 | 111 ± 3 | 3040 ± 252 | 16.1 | 27.4 | |
| 313b | F | (quinolin-3-yl)methyl | 16 ± 3 | 485 ± 16 | 74 ± 3 | 851 ± 36 | 30.3 | 11.5 | |
![]() | |||||||||
| 314a | H | (quinolin-6-yl)methyl | 190 ± 6 | 845 ± 15 | 140 ± 4 | 1640 ± 58 | 4.4 | 11.7 | |
| 314b | F | (quinolin-6-yl)methyl | 62 ± 2 | 551 ± 21 | 73 ± 3 | 1040 ± 46 | 8.9 | 14.2 | |
![]() | |||||||||
| 315a | H | 3-(benzimidazol-2-yl)propyl | 23 ± 0.5 | 309 ± 9 | 17 ± 0.7 | 627 ± 12 | 13.4 | 36.9 | |
| 315b | F | 3-(benzimidazol-2-yl)propyl | 2.5 ± 0.1 | 28 ± 2 | 8.1 ± 0.3 | 74 ± 4 | 11.2 | 9.1 | |
![]() | |||||||||
| 316a | H | (naphthalen-2-yl)methyl | 43 ± 2 | 903 ± 47 | 32 ± 0.6 | 926 ± 33 | 21.0 | 28.9 | |
| 316b | F | (naphthalen-2-yl)methyl | 8.0 ± 0.3 | 312 ± 15 | 30 ± 1 | 588 ± 39 | 39.0 | 19.6 | |
![]() | |||||||||
| 317a | H | (naphthalen-1-yl)methyl | 114 ± 5 | 336 ± 22 | 406 ± 11 | 83 ± 5 | 2.9 | 0.2 | |
| 317b | F | (naphthalen-1-yl)methyl | 31 ± 1 | 243 ± 6 | 312 ± 19 | 257 ± 12 | 7.8 | 0.8 | |
![]() | |||||||||
| 318a | H | 2-(naphthalen-1-yl)ethyl | 92 ± 13 | 462 ± 17 | 42 ± 0.9 | 578 ± 17 | 5.0 | 13.8 | |
| 318b | F | 2-(naphthalen-1-yl)ethyl | 7.8 ± 0.2 | 46 ± 1 | 25 ± 0.8 | 119 ± 4 | 5.9 | 4.8 | |
| Compound | S. Singh's alphanumeric assignation (name) |
R | R′ | R″ | IC50 (nM) DAT [3H]WIN 35428 |
IC50 (nM) 5-HTT [3H]citalopram |
Selectivity 5-HTT/DAT |
|---|---|---|---|---|---|---|---|
| 279 (GBR 12909) | 14.0 ± 0.6 | 82 ± 4 | 5.8 | ||||
| 320 (O-549) | 595 ± 148 | 38 ± 127 | 0.6 | |||
![]() | |||||||
| 321 (O-526) | F | 24.9 ± 3.23 | 248 ± 72 | 9.9 | |||
| 322a | H | 12.0 ± 0.4 | 232 ± 28 | 19.3 | |||
| 322b | Cl | 65.0 ± 12 | 224 ± 10 | 3.4 | |||
| 322c | Br | 159 ± 56 | 835 ± 142 | 5.2 | |||
| 322d | OCH3 | 255 ± 32 | 340 ± 24 | 1.3 | |||
![]() | |||||||
| 323a | H | 10.6 ± 0.85 | 102 ± 5 | 9.6 | |||
| 323b | F | 19.9 ± 9.5 | 31.9 ± 7.1 | 1.6 | |||
| 323c | Cl | 115 ± 22 | 414 ± 32 | 3.6 | |||
| 323d | Br | 382 ± 167 | 638 ± 71 | 1.7 | |||
| 323e | CH3 | 311 ± 71 | 888 ± 58 | 2.8 | |||
![]() | |||||||
| 324a | H | 15.2 ± 2.8 | 743 ± 6 | 48.9 | |||
| 324b | F | 9.7 ± 0.4 | 198 ± 7 | 20.4 | |||
![]() | |||||||
| 325a | H | 14.5 ± 1.9 | 58 ± 7 | 3.7 | |||
| 325b | F | 13.0 ± 2.5 | 112 ± 4 | 8.6 | |||
![]() | |||||||
| 326a | H | 108 ± 14 | 456 ± 90 | 4.2 | |||
| 326b | F | 13.5 ± 2.6 | 237 ± 53 | 17.5 | |||
![]() | |||||||
| 327a | H | 702 ± 34 | 544 ± 91 | 0.8 | |||
| 327b | F | 126 ± 13 | 761 ± 101 | 6.0 | |||
![]() | |||||||
| 328a | H | H | F | 17.2 ± 4.7 | 1920 ± 233 | 111.6 | |
| 328b | H | H | Cl | 24.7 ± 5.5 | 1610 ± 119 | 65.2 | |
| 328c | H | H | Br | 31.1 ± 2.9 | 1490 ± 319 | 47.9 | |
| 328d | H | Cl | Cl | 85.7 ± 4.7 | 2880 ± 281 | 33.6 | |
| 328e | H | H | OCH3 | 27.8 ± 6.8 | 1240 ± 342 | 44.6 | |
| 328f | Cl | H | F | 52.4 ± 7.8 | 1810 ± 107 | 34.5 | |
| 328g | F | H | F | 14.0 ± 3.3 | 1260 ± 72 | 90.0 | |
| 328h | H | H | CH3 | 23.0 ± 3.7 | 1390 ± 240 | 60.4 | |
| 328i | H | Cl | F | 28.2 ± 3.1 | 2530 ± 50 | 89.7 | |
| 328j | H | H | NO2 | 16.4 ± 3.0 | 1770 ± 305 | 107.9 | |
| 328k | H | H | NH2 | 101 ± 13 | 1570 ± 201 | 15.5 | |
![]() | |||||||
| 329a | Ph | 3-pyridyl | 48.6 ± 8.4 | 680 ± 12.0 | 14.0 | ||
| 329b | Ph | 2-benzo[b]thiophenyl | 172 ± 16.4 | 1540 ± 251 | 8.9 | ||
| 329c | Ph | 2-thienyl | 59.3 ± 5.8 | 1250 ± 87 | 21.1 | ||
| 329d | 2-thienyl | Ph | 27.2 ± 0.1 | 741 ± 108 | 27.2 | ||
| 329e | 2-thienyl | 4-F-Ph | 13.8 ± 3.4 | 1390 ± 243 | 101 | ||
| 329f | 2-thienyl | 3-pyridyl | 58.3 ± 5.7 | 927 ± 34 | 15.9 | ||
![]() | |||||||
| 330a | F | 4-F-Ph | 15.1 ± 2.0 | 75.8 ± 22.1 | 5.0 | ||
| 330b | F | Ph | 41.4 ± 8.0 | 271 ± 18.4 | 6.5 | ||
| 330c | H | Ph | 10.1 ± 1.6 | 231 ± 4.5 | 22.9 | ||
| 330d | H | 4-F-Ph | 10.8 ± 3.2 | 205 ± 13.3 | 19.0 | ||
| 330e | H | 2-thienyl | 9.8 ± 2.4 | 290 ± 63 | 29.6 | ||
![]() | |||||||
| 331a | Ph | H | 4-F-Ph | 6.6 ± 1.4 | 223 ± 32.3 | 33.8 | |
| 331b | Ph | H | 3-pyridyl | 29.9 ± 0.3 | 194 ± 20.1 | 6.5 | |
| 331c | 2-thienyl | H | Ph | 6.0 ± 0.5 | 180 ± 21.6 | 30.0 | |
| 331d | 2-thienyl | F | Ph | 11.7 ± 1.0 | 85.7 ± 2.6 | 7.3 | |
![]() | |||||||
| 332a | H | F | 9.4 ± 2.6 | 585 ± 101 | 62.2 | ||
| 332b | F | H | - | - | - |
Dihydroimidazoles

See: List of Mazindol analogues
Mazindol is usually considered a non-habituating (in humans, and some other mammals, but is habituating for e.g. Beagles[lower-alpha 53]) tetracyclic dopamine reuptake inhibitor (of somewhat spurious classification in the former).
It is a loosely functional analog used in cocaine research; due in large part to N-Ethylmaleimide being able to inhibit approximately 95% of the specific binding of [3H]Mazindol to the residues of the MAT binding site(s), however said effect of 10 mM N-Ethylmaleimide was prevented in its entirety by just 10 μM cocaine. Whereas neither 300 μM dopamine or D-amphetamine afforded sufficient protection to contrast the efficacy of cocaine.[lower-alpha 54]

The above steps in its synthesis show the similitude of its precursors to the MAT reuptake inhibitor pipradrol & related compounds.
Local anesthetics (not usually CNS stimulants)

-2%2C2-dimethyl-1-phenylpropan-1-one.png)

In animal studies, certain of the local anesthetics have displayed residual dopamine reuptake inhibitor properties,[53] although not normally ones that are easily available. These are expected to be more cardiotoxic than phenyltropanes. For example, dimethocaine has behavioral stimulant effects (and therefore not here listed below) if a dose of it is taken that is 10 times the amount of cocaine. Dimethocaine is equipotent to cocaine in terms of its anesthetic equivalency.[53] Intralipid "rescue" has been shown to reverse the cardiotoxic effects of sodium channel blockers and presumably those effects when from cocaine administered intravenously as well.
| Name | Other common names |
|---|---|
| Amylocaine | Stovaine |
| Articaine | Astracaine, Septanest, Septocaine, Ultracaine, Zorcaine |
| Benzocaine | |
| Bupivacaine | Marcaine, Sensorcaine, Vivacaine |
| Butacaine | |
| Carticaine | |
| Chloroprocaine | Nesacaine |
| Cinchocaine/Dibucaine | Cincain, Cinchocaine, Nupercainal, Nupercaine, Sovcaine |
| Cyclomethycaine | Surfacaine, Topocaine |
| Etidocaine | |
| Eucaine | α-eucaine, ß-eucaine |
| Fomocaine[54] | |
| Fotocaine[54] | |
| Hexylcaine | Cyclaine, Osmocaine |
| Levobupivacaine | Chirocaine |
| Lidocaine/Lignocaine | Xylocaine, Betacaine |
| Mepivacaine | Carbocaine, Polocaine |
| Meprylcaine/Oracaine | Epirocain |
| Metabutoxycaine | Primacaine |
| Phenacaine/Holocaine | |
| Piperocaine | Metycaine |
| Pramocaine/Pramoxine | |
| Prilocaine | Citanest |
| Propoxycaine/Ravocaine | |
| Procaine/Novocaine | Borocaine (Procaine Borate), Ethocaine |
| Proparacaine/Alcaine | |
| Quinisocaine | Dimethisoquin |
| Risocaine | |
| Ropivacaine | Naropin |
| Tetracaine/Amethocaine | Pontocaine, Dicaine |
| Trimecaine | Mesdicain, Mesocain, Mesokain |
Analogues for other purposes
Tropanes (Non-ecgonine)

Benzamides

- Procainamide (also an aniline, like dimethocaine)

Toxins

- Anatoxin-a, also known as "Very Fast Death Factor" (VFDF), is an acutely toxic cyanotoxin with a method of action as an agonist of acetylcholine via those nicotinic class of receptors. Cocaine can be used as a precursor in its synthesis.
![]() VFDF Note its eight, instead of seven, sides (not counting the nitrogen-bridge inside ring) | ![]() |

- Epibatidine (cf. nicotine)
- Pinnamine

- 3-Quinuclidinyl benzilate[57] (synthetic deliriant used as incapacitating agent)
See also
Cocaine-N-oxide:
Hydroxytropacocaine:
m-Hydroxybenzoylecgonine: 


- Coca alkaloids, the ones relating to cocaine biosynthesis include: benzoylecgonine, ecgonidine, ecgonine, hydroxytropacocaine, methylecgonine cinnamate, tropacocaine & truxilline
- Cocaine metabolites (Human), which include: benzoylecgonine (BE), ecgonine methyl ester (EME), ecgonine, norcocaine, p-hydroxycocaine, m-hydroxycocaine, p-hydroxybenzoylecgonine (pOHBE) & m-hydroxybenzoylecgonine
- Dopaminergics
- Federal Analog Act
- Pharmacophore
- Pharmacopoeia
- Pharmacokinetics
Common analogues to prototypical D-RAs:
Notes (inclu. specific locations of citations from within references used)
- ↑ [1] ←Page #969 (45th page of article) §III. ¶1. Final line. Last sentence.
- ↑ [1] ←Page #1,018 (94th page of article) 2nd column, 2nd paragraph.
- ↑ [1] ←Page #940 (16th page of article) underneath Table 8., above §4
- ↑ [1] ←Page #970 (46th page of article) Table 27. Figure 29.
- ↑ [1] ←Page #971 (47th page of article) Figure 30. & Page #973 (49th page of article) Table 28.
- ↑ [1] ←Page #982 (58th page of article)
- ↑ [1] ←Page #971 (47th page of article) Figure 30 & Page #971 (47th page of article) Figure 30 & Page #973 (49th page of article) Table 28
- ↑ [1] ←Page #972 (48th page of article) ¶2, Line 10.
- ↑ [1] ←Page #971 (47th page of article) Figure 30 & Page #971 (47th page of article) Figure 30 & Page #973 (49th page of article) Table 28
- ↑ [1] ←Page #971 (47th page of article) Figure 30 & Page #971 (47th page of article) Figure 30 & Page #973 (49th page of article) Table 28
- ↑ [1] ←Page #971 (47th page of article) Figure 30 & Page #971 (47th page of article) Figure 30 & Page #973 (49th page of article) Table 28
- ↑ [1] ←Page #974 (50st page of article) First (left) column, third ¶
- ↑ [1] ←Page #937 (13th page of article) Second (right) column, first ¶. Above/before §2
- ↑ [1] ←Page #974 (50th page of article) Final ¶ (5th), Second line.
- ↑ [1] ←Page #975 (51st page of article) First ¶, first line.
- ↑ [1] ←Page #975 (51st page of article) First ¶, 4th line.
- ↑ [1] ←Page #973 (49th page of article) §C. & Page #974 (50th page of article) Figure 31 & Page #976 (52nd page of article) Table 29.
- ↑ [1] ←Page #974 (50st page of article) First (left) column, fourth ¶
- ↑ [1] ←Page #974 (50th page of article) Figure 31 & Page #977 (53rd page of article) Table 30.
- ↑ [1] ←Page #974 (50th page of article) Figure 31 & Page #977 (53rd page of article) Table 30.
- ↑ [1] ←Page #974 (50th page of article) Figure 31 & Page #977 (53rd page of article) Table 30.
- ↑ [1] ←Page #974 (50th page of article) Figure 31 & Page #977 (53rd page of article) Table 30.
- ↑ [1] ←Page #978 (54th page of article) §D & Page #980 (56th page of article) Figure 33 & Page #981 (57th page of article) Table 32.
- ↑ [1] ←Page #980 (56th page of article) Scheme 52.
- ↑ [1] ←Page #963 (39th page of article) 2nd (right side) column, 2nd paragraph.
- ↑ [1] ←Page #982 (58th page of article) §G & Page #983 (59th page of article) Figure 36 & Page #984 (60th page of article) Table 35.
- ↑ [1] ←Page #979 (55th page of article) Table 31.
- ↑ [1] ←Page #981 (57th page of article) §E & Page #982 (58th page of article) Table 33.
- ↑ [1] ←Page #970 (46th page of article) §B, 10th line
- ↑ [1] ←Page #971 (47th page of article) 1st ¶, 10th line
- ↑ [1] ←Page #949 (25th page of article) 3rd ¶, 20th line
- ↑ [1] ←Page #982 (58th page of article) 3rd ¶, lines 2, 5 & 6.
- ↑ [1] ←Page #982 (58th page of article) §F, Table 34 & Figure 35.
- ↑ [1] ←Page #984 (60th page of article) §H, Figure 37 & Page #985 (61st page of article) Table 36.
- ↑ [1] ←Page #984 (60th page of article) Scheme 56.
- ↑ [1] ←Page #986 (62nd page of article) §I, Table 37 & Scheme 58
- ↑ [1] ←Page #1,014 (90th page of article) §VIII, A. Figure 59.
- ↑ [1] ←Page #1,016 (92nd page of article) Figure 60.
- ↑ [1] ←Page #990 (66th page of article) Figure 44
- ↑ [37] ←Page #31, §3.2. ¶3, 15th & 16th lines, final sentence.
- ↑ [1] ←Page #927 (3rd page of article) second ¶. Lines seven — fifteen.
- ↑ [1] ←Page #1,006 (82nd page of article) 2nd row, 1st ¶ (orig. ref.: Bonnet, J.-J.; Benmansour, S.; Costenin, J.; Parker, E. M. ;Cubeddu, L. X. J. Pharmacol. Exp. Ther. 1990, 253, 1206)
- ↑ [1] ←Page #987 (63rd page of article) §IV, Figure 39 & Page #988 (64th page of article) Table 38.
- ↑ [1] ←Page #987 (63rd page of article) Figure 40, Page #988 (64th page of article) §B & Page #989 (65th page of article) Table 39.
- ↑ [1] ←Page #987 (63rd page of article) Figure 41, Page #989 (65th page of article) §C & Page #990 (66th page of article) Table 40.
- ↑ [1] ←Page #988 (64th page of article) Figure 42, Page #990 (66th page of article) §2 & Page #992 (68th page of article) Table 41.
- ↑ [1] ←Page #988 (64th page of article) Figure 43, Page #992 (68th page of article) §3 & Table 42.
- ↑ [1] ←Page #993 (69th page of article) §V. ¶2. Fourth line. First sentence.
- ↑ [1] ←Page #993 (69th page of article) §V, Figure 46 & Table 43.
- ↑ [1] ←Page #995 (71st page of article) Figure 47 & Page #997 (73rd page of article) Table 44.
- ↑ [1] ←Page #997 (73rd page of article) §C, Page #998 (74th page of article) Figure 48 & Page #1,000 Table 45.
- ↑ [1] ←Page #1,000 (76th page of article) §D, Page #1,001 (77th page of article) Figure 49 & Page #1,005 (81st page of article) Table 46.
- ↑ [1] ←Page #1,011 (87th page of article) §VII (7) 1st ¶.
- ↑ [1] ←Page #969 (45th page of article) 2nd (right-side) column 2nd ¶.
References
- 1 2 3 4 5 6 7 8 9 10 11 12 13 14 15 16 17 18 19 20 21 22 23 24 25 26 27 28 29 30 31 32 33 34 35 36 37 38 39 40 41 42 43 44 45 46 47 48 49 50 51 52 53 Chemistry, Design, and Structure-Activity Relationship of Cocaine Antagonists. Satendra Singh et al. Chem. Rev. 2000, 100. 925-1024. PubMed; Chemical Reviews (Impact Factor: 45.66). 04/2000; 100(3):925-1024 American Chemical Society; 2000 ISSN 0009-2665 ChemInform; May, 16th 2000, Volume 31, Issue 20, doi:10.1002/chin.200020238. Mirror hotlink.
- ↑ Psicaine: An artifical cocaine. Br Med J. 1925 Jan 3;1(3340):11. PMID 20771843 PMCID: PMC2196615. Watson-Williams E.
- 1 2 Singh S, Basmadjian GP, Avor K, Pouw B, Seale TW. A convenient synthesis of 2′- or 4′-hydroxycocaine. Synthetic Communications. 1997;27(22):4003-4012.
et. el-Moselhy TF, Avor KS, Basmadjian GP. 2′-substituted analogs of cocaine: synthesis and dopamine transporter binding potencies. Archiv der Pharmazie (Weinheim). 2001 Sep;334(8-9):275-8. PMID 11688137
et. Seale TW, Avor K, Singh S, Hall N, Chan HM, Basmadjian GP. 2′-Substitution of cocaine selectively enhances dopamine and norepinephrine transporter binding. Neuroreport. 10 November 1997;8(16):3571-5. PMID 9427328 - 1 2 Smith, R. Martin; Poquette, Michael A.; Smith, Paula J.,
- ↑ "Hydroxymethoxybenzoylmethylecgonines: New metabolites of cocaine from human urine." Journal of Analytical Toxicology 1984, 8(1), pp.29-34
- ↑ Gatley SJ, Yu DW, Fowler JS, MacGregor RR, Schlyer DJ, Dewey SL, Wolf AP, Martin T, Shea CE, Volkow ND (March 1994). "Studies with differentially labeled [11C]cocaine, [11C]norcocaine, [11C]benzoylecgonine, and [11C]- and 4′-[18F]fluorococaine to probe the extent to which [11C]cocaine metabolites contribute to PET images of the baboon brain". Journal of Neurochemistry. 62 (3): 1154–62. doi:10.1046/j.1471-4159.1994.62031154.x. PMID 8113802.
- ↑ Carroll, F. I.; Lewin, A. H.; Boja, J. W.; Kuhar, M. J. (1992). "Cocaine Receptor: Biochemical Characterization and Structure-Activity Relationships of Cocaine Analogues at Dopamine Transporter". Journal of Medicinal Chemistry. 35 (6): 969–981. doi:10.1021/jm00084a001. PMID 1552510.
- ↑ Seale, TW; Avor, K; Singh, S; Hall, N; Chan, HM; Basmadjian, GP (1997). "2′-Substitution of cocaine selectively enhances dopamine and norepinephrine transporter binding". NeuroReport. 8 (16): 3571–5. doi:10.1097/00001756-199711100-00030. PMID 9427328.
- ↑ The analgesic properties of some 14-substituted derivatives of codeine and codeinone J. Pharm. Pharmacol., Royal Pharmaceutical Society of Great Britain, 1964, 16, 174—182. doi: 10.1111/j.2042-7158.1964.tb07440.x
- ↑ Synthesis of novel spirocyclic cocaine analogs using the Suzuki coupling. Tetrahedron Letters. Volume 41, Issue 13, 27 March 2000, Pages 2055–2058. Sukumar Sakamuri et al. doi:10.1016/S0040-4039(00)00113-1
- ↑ Isomura, Shigeki; Hoffman, Timothy Z.; Wirsching, Peter; Janda, Kim D. (2002). "Benzoylthio-. cocaine, analogue substitution. Synthesis, Properties, and Reactivity of Cocaine Benzoylthio Ester Possessing the Cocaine Absolute Configuration". J. Am. Chem. Soc. 124 (14): 3661–3668. doi:10.1021/ja012376y. PMID 11929256.
- ↑ Davis, Franklin A.; Gaddiraju, Narendra V.; Theddu, Naresh; Hummel, Joshua R.; Kondaveeti, Sandeep K.; Zdilla, Michael J. (2012). "Enantioselective Synthesis of Cocaine C-1 Analogues using Sulfinimines (N-Sulfinyl Imines)". The Journal of Organic Chemistry. 77 (5): 2345–2359. doi:10.1021/jo202652f. ISSN 0022-3263.
- 1 2 3 Reith, M. E. A.; Ali, S.; Hashim, A.; Sheikh, I. S.; Theddu, N.; Gaddiraju, N. V.; Mehrotra, S.; Schmitt, K. C.; Murray, T. F.; Sershen, H.; Unterwald, E. M.; Davis, F. A. (2012). "Novel C-1 Substituted Cocaine Analogs Unlike Cocaine or Benztropine". Journal of Pharmacology and Experimental Therapeutics. 343 (2): 413–425. doi:10.1124/jpet.112.193771. ISSN 1521-0103. Full article
- ↑ Cocaine binding at sigma receptors. Sharkey et al. Eur J Pharmacol. 1988 Apr 27;149(1-2):171-4.
- ↑ Involvement of the Sigma1 Receptor in Cocaine-induced Conditioned Place Preference: Possible Dependence on Dopamine Uptake Blockade Pascal Romieu et al. Neuropsychopharmacology (2002) 26 444-455.10.1038/S0893-133X(01)00391-8
- 1 2 3 4 5 6 7 U.S. Patent 6,479,509
- ↑ Kozikowski, A. P.; Simoni, D.; Roberti, M.; Rondanin, R.; Wang, S.; Du, P.; Johnson, K. M. (1999). "Synthesis of 8-oxa analogues of norcocaine endowed with interesting cocaine-like activity". Bioorganic & Medicinal Chemistry Letters. 9 (13): 1831–1836. doi:10.1016/S0960-894X(99)00273-5.
- ↑ Hoepping, Alexander (2000). "Novel Conformationally Constrained Tropane Analogues by 6- e ndo-trig Radical Cyclization and Stille Coupling − Switch of Activity toward the Serotonin and/or Norepinephrine Transporter". Journal of Medicinal Chemistry. 43 (10): 2064–2071. doi:10.1021/jm0001121. PMID 10821718.
- ↑ Zhang, Ao (2002). "Thiophene derivatives: a new series of potent norepinephrine and serotonin reuptake inhibitors". Bioorganic. 12 (7): 993–995. doi:10.1016/S0960-894X(02)00103-8.
- ↑ Zhang, Ao (2002). "Further Studies on Conformationally Constrained Tricyclic Tropane Analogues and Their Uptake Inhibition at Monoamine Transporter Sites: Synthesis of ( Z )-9-(Substituted arylmethylene)-7-azatricyclo[4.3.1.0 3,7 ]decanes as a Novel Class of Serotonin Transporter Inhibitors". Journal of Medicinal Chemistry. 45 (9): 1930–1941. doi:10.1021/jm0105373. PMID 11960503.
- ↑ Novel 2-substituted cocaine analogs: binding properties at dopamine transport sites in rat striatum. Eur J Pharmacol 1993 Jan;244(1):93-7. PMID 8420793
- ↑ "Drugbank website "drug card", "(DB00907)" for Cocaine: Giving ten targets of the molecule in vivo, including dopamine/serotonin sodium channel affinity & K-opioid affinity". Drugbank.ca. Retrieved 9 March 2010.
- ↑ Voltage sensitivities and deactivation kinetics of histamine H3 and H4 receptors. Biochimica et Biophysica Acta (BBA) - Biomembranes. Volume 1818, Issue 12, December 2012, Pages 3081–3089 Kristoffer Sahlholm, Johanna Nilsson, Daniel Marcellino, Kjell Fuxe, Peter Århem. doi:10.1016/j.bbamem.2012.07.027 …Agonist potency at some neurotransmitter receptors has been shown to be regulated by voltage, a mechanism which has been suggested to play a crucial role in the regulation of neurotransmitter release by inhibitory autoreceptors…
- ↑ Enantioselective synthesis of strobamine and its analogues Xing Zhang et al. Center for Organic and Medicinal Chemistry, Research Triangle Institute. Issue in Honor of Prof. James M.Cook ARKIVOC 2010 (iv)96-103
- 1 2 Appell, Michael; Dunn, William J.; Reith, Maarten E.A.; Miller, Larry; Flippen-Anderson, Judith L. (2002). "An Analysis of the Binding of Cocaine Analogues to the Monoamine Transporters Using Tensor Decomposition 3-D QSAR". Bioorganic & Medicinal Chemistry. 10 (5): 1197–1206. doi:10.1016/S0968-0896(01)00389-3. ISSN 0968-0896.
- ↑ "Cocaine Analog Coupled to Disrupted Adenovirus: A Vaccine Strategy to Evoke High-titer Immunity Against Addictive Drugs" PMCID: PMC3048190 doi: 10.1038/mt.2010.280
- ↑ Active immunotherapy for the Treatment of Cocaine Dependence Drugs Future. 2010 Apr 1; 35(4): 301–306. doi: 10.1358/dof.2010.035.04.1474292
- ↑ Novel Cocaine Vaccine Linked to a Disrupted Adenovirus Gene Transfer Vector Blocks Cocaine Psychostimulant and Reinforcing Effects Neuropsychopharmacology. 2012 Apr; 37(5): 1083–1091. doi: 10.1038/npp.2011.200 PMCID: PMC3306868 Sunmee Wee et al.
- ↑ Catalytic antibodies against cocaine and methods of using and producing same Google patents US 6566084 B1
- ↑ Deng, Shixian; Bharat, Narine; de Prada, Paloma; Landry, Donald W. (2004). "Substrate-assisted antibody catalysis". Organic & Biomolecular Chemistry. 2 (3): 288. doi:10.1039/b314264g. ISSN 1477-0520.
- ↑ Inhibition of Cocaine Binding to the Human Dopamine Transporter by a Single Chain Anti-Idiotypic Antibody: Its Cloning, Expression and Functional Properties Biochim Biophys Acta. 2003 Jul 30; 1638(3): 257–266. PMCID: PMC3295240 NIHMSID: NIHMS358284
- ↑ Exploring the feasibility of an anti-idiotypic cocaine vaccine: analysis of the specificity of anticocaine antibodies (Ab1) capable of inducing Ab2βanti-idiotypic antibodies Immunology. 2000 May; 100(1): 48–56. PMCID: PMC2326984 doi: 10.1046/j.1365-2567.2000.00004.x
- ↑ Soft drugs— Synthesis and anticholinergic activity of soft phenylsuccinic analogs of methatropine Bioorganic & Medicinal Chemistry: Volume 1, Issue 3, September 1993, Pages 183–187
- ↑ Bemesetron @ U.S. National Library of Medicine's TOXNET: Toxicology Data Network
- ↑ An alkaloid of Phyllanthus discoides (Euphorbiaceae) phyllalbine, a central and peripheral sympathomimetic (Impact Factor: 0.4). 01/1965; 20(4):1033-41
- ↑ ARZNAD Arzneimittel-Forschung. Drug Research. (Editio Cantor Verlag, Postfach 1255, W-7960 Aulendorf, Fed. Rep. Ger.) V.1-1951-Volume(issue)/page/year: 18,517,1968
- ↑ Dopamine reuptake transporter (DAT) ``inverse agonism´´ - A novel hypothesis to explain the enigmatic pharmacology of cocaine 2014-12-24 17:08:48 2014-12-25 00:28:27
- ↑ The binding sites for cocaine and dopamine in the dopamine transporter overlap Nat Neurosci. 2008 Jul; 11(7): 780–789. doi: 10.1038/nn.2146
- ↑ Zhou, Jia; He, Rong; Johnson, Kenneth M.; Ye, Yanping; Kozikowski, Alan P. (2004). "Piperidine-Based Nocaine/Modafinil Hybrid Ligands as Highly Potent Monoamine Transporter Inhibitors: Efficient Drug Discovery by Rational Lead Hybridization". Journal of Medicinal Chemistry. 47 (24): 5821–5824. doi:10.1021/jm040117o. ISSN 0022-2623.
- ↑ Skeptics Stack Exchange: Is sugar one element away from cocaine (or any other drug?)
- ↑ Velázquez-Sánchez, Clara; García-Verdugo, José M.; Murga, Juan; Canales, Juan J. (2013). "The atypical dopamine transport inhibitor, JHW 007, prevents amphetamine-induced sensitization and synaptic reorganization within the nucleus accumbens". Progress in Neuro-Psychopharmacology and Biological Psychiatry. 44: 73–80. doi:10.1016/j.pnpbp.2013.01.016. ISSN 0278-5846.
- ↑ Tanda, G; Newman, A; Ebbs, AL; Tronci, V; Green, J; Tallarida, RJ; Katz, JL (2009). "Combinations of Cocaine with other Dopamine Uptake Inhibitors: Assessment of Additivity". J Pharmacol Exp Ther. 330 (3): 802–9. doi:10.1124/jpet.109.154302. PMC 2729796
. PMID 19483071. - ↑ J Pharmacol Exp Ther. 2013 Jul; 346(1): 2–10. Fig. 1. Published online 2013 Jul. doi: 10.1124/jpet.111.191056
- 1 2 3 Rothman RB, Baumann MH, Prisinzano TE, Newman AH. Dopamine transport inhibitors based on GBR12909 and benztropine as potential medications to treat cocaine addiction. Biochem Pharmacol. 2008 Jan 1;75(1):2-16. doi:10.1016/j.bcp.2007.08.007 PMID 17897630
- ↑ Runyon SP, Carroll FI. Dopamine transporter ligands: recent developments and therapeutic potential. Curr Top Med Chem. 2006;6(17):1825-43. doi:10.2174/156802606778249775 PMID 17017960
- 1 2 3 4 5 Loland, C. J.; Desai, R. I.; Zou, M.-F.; Cao, J.; Grundt, P.; Gerstbrein, K.; Sitte, H. H.; Newman, A. H.; Katz, J. L.; Gether, U. (2007). "Relationship between Conformational Changes in the Dopamine Transporter and Cocaine-Like Subjective Effects of Uptake Inhibitors". Molecular Pharmacology. 73 (3): 813–823. doi:10.1124/mol.107.039800. ISSN 0026-895X.
- ↑ Banister, Samuel D.; Manoli, Miral; Barron, Melissa L.; Werry, Eryn L.; Kassiou, Michael (2013). "N-substituted 8-aminopentacyclo[5.4.0.02,6.03,10.05,9]undecanes as σ receptor ligands with potential neuroprotective effects". Bioorganic & Medicinal Chemistry. 21 (19): 6038–6052. doi:10.1016/j.bmc.2013.07.045. ISSN 0968-0896.
- ↑ Dallanoce, Clelia; Canovi, Mara; Matera, Carlo; Mennini, Tiziana; De Amici, Marco; Gobbi, Marco; De Micheli, Carlo (2012). "A novel spirocyclic tropanyl-Δ2-isoxazoline derivative enhances citalopram and paroxetine binding to serotonin transporters as well as serotonin uptake". Bioorganic & Medicinal Chemistry. 20 (21): 6344–6355. doi:10.1016/j.bmc.2012.09.004. ISSN 0968-0896.
- ↑ 3,4-Methylenedioxypyrovalerone prevents while methylone enhances methamphetamine-induced damage to dopamine nerve endings: β-ketoamphetamine modulation of neurotoxicity by the dopamine transporter J Neurochem. 2015 Apr; 133(2): 211–222. doi: 10.1111/jnc.13048
- ↑ Schmitt, Kyle C.; Zhen, Juan; Kharkar, Prashant; Mishra, Manoj; Chen, Nianhang; Dutta, Aloke K.; Reith, Maarten E. A. (2008). "Interaction of cocaine-, benztropine-, and GBR12909-like compounds with wild-type and mutant human dopamine transporters: molecular features that differentially determine antagonist-binding properties". Journal of Neurochemistry. doi:10.1111/j.1471-4159.2008.05667.x. ISSN 0022-3042.
- ↑ Katz, Jonathan L.; Libby, Therissa A.; Kopajtic, Theresa; Husbands, Stephen M.; Newman, Amy Hauck (2003). "Behavioral effects of rimcazole analogues alone and in combination with cocaine". European Journal of Pharmacology. 468 (2): 109–119. doi:10.1016/S0014-2999(03)01638-8. ISSN 0014-2999.
- ↑ Ruetsch, YA; Böni, T; Borgeat, A (Aug 2001). "From cocaine to ropivacaine: the history of local anesthetic drugs". Curr Top Med Chem. 1 (3): 175–82. doi:10.2174/1568026013395335. PMID 11895133.
- 1 2 Wilcox, K.M., Kimmel, H.L., Lindsey, K.P., Votaw, J.R., Goodman, M.M., Howell, L.L. In vivo comparison of the reinforcing and dopamine transporter effects of local anesthetics in rhesus monkeys. Synapse, 58: 220-228, 2005. PDF
- 1 2 Schoenberger, Matthias; Damijonaitis, Arunas; Zhang, Zinan; Nagel, Daniel; Trauner, Dirk (2014). "Development of a New Photochromic Ion Channel Blocker via Azologization of Fomocaine". ACS Chemical Neuroscience. 5 (7): 514–518. doi:10.1021/cn500070w. ISSN 1948-7193. nih.gov article
- ↑ Wegge, Thomas; Schwarz, Simone; Seitz, Gunther (2000). "A new and efficient synthetic route to enantiopure (+)-anatoxin-a from (−)-cocaine hydrochloride". Tetrahedron: Asymmetry. 11 (6): 1405–1410. doi:10.1016/S0957-4166(00)00059-8.
- ↑ Approaches to the enantioselective synthesis of ferrugine and its analogues Institute of Chemistry, University of Bialystok, ul. Hurtowa 1, 15-339 Bialystok, Poland
- ↑ Antagonism of nicotine's action by cocaine analogs. Life Sci. 1995;56(3):PL67-70.
- ↑ U.S. Patent 6,479,509 Patent inventor Frank Ivy Carroll, Assignee: Research Triangle Institute
- ↑ U.S. patent US6479509 B1 structures given for submission, 5th compound down in image.
External links
| Wikimedia Commons has media related to Cocaine analogs. |
- U. S. Provisional Patent Application listing examples of compounds which are tropanes for prospective use in research
- Article on cocaine analogue research
- List of tropanyl type molecules and their CAS Registry Numbers





































-6-methyl-6-azabicyclo(3.2.1)octan-3-yl_benzoate.png)
-6-methyl-6-azabicyclo(3.2.1)octan-3-yl_benzoate.png)














































































.png)
















































